绝大部分树木的木材可分为边材和心材2部分,边材是靠近形成层的次生木质部,由具有生理活性的活细胞组成,主要起输导和贮藏作用,心材位于边材以内,是次生木质部的内层,由丧失了生理活性的死细胞构成,其主要功能是机械支撑和储存次生代谢物(如树脂、树胶、酚类、精油、单宁、色素等)[1-2]。心材和边材在结构和组成上的差异使得其在应用范围、经济价值和综合效益等方面差异悬殊[3-5]。檀香Santalum album是檀香科Santalaceae檀香属Santalum的一种根系半寄生常绿小乔木。檀香心材以及从心材中提取的檀香精油在中药、香精香料、化妆品、宗教及雕刻行业等具有广泛的应用,因此,收获高产量和高质量的檀香心材是种植者的最终目的[6-7]。我国大陆最早于1962年引种檀香,经过多年的反复栽培试验,檀香已在广东、广西、福建、海南和云南等省区成功种植,约6~7年即开始形成心材(俗称“结香”)[8-11],然而各引种地檀香人工林的心材比例、心材精油含量及质量等则鲜见系统报道,仅见零星的单株抽样分析结果[9, 12-13]。本文以海南尖峰岭21年生檀香人工林为研究对象,通过测定心材形成情况、心材比例和心材精油含量,并分析精油含量及成分的分布规律,一方面为我国檀香人工林心材比例和精油含量及质量的研究打下基础,另一方面有助于深入了解檀香心材形成过程,从而为檀香种植业的发展提供科学依据。
1 材料与方法 1.1 试验材料试验材料取自于海南省乐东黎族自治县尖峰镇中国林业科学研究院热带林业研究所试验站的檀香人工林(位于北纬18° 42′ 5″~18° 42′ 55″,东经108°47′35″~108°48′25″,海拔88~102 m,年均气温24.5 ℃,平均降雨量1 900~2 200 mm), 种源为印尼,其种植时间为1989年,株行距为3 m×4 m或3 m×5 m。种植后的管理措施比较粗放,仅前3年开展过抚育管理,受人为盗伐的影响,林分保存率较低,平均树高6.5 m,平均胸径14.5 cm,平均地径16.2 cm。2010年12月,从林分内随机挑选10株伐倒、截取圆盘并提取精油进行含量和成分组成分析。由于檀香树干30 cm高度处圆盘的精油含量及成分组成和整株产油量大小的相关性较强,可推算出整株精油的产量[14],因而本试验中檀香心材的比例估算、精油含量大小分布及成分组成分析特征等均选取30 cm高度处的圆盘。
1.2 试验方法 1.2.1 心材形成及比例的测算方法檀香心材为浅黄色,且具特殊香味,而边材颜色比心材淡得多,心、边材的界限很明显,因此可直接用肉眼判别是否形成心材。心材比例根据圆盘横截面的面积进行粗略估算[7]。由于心材横截面多呈不规则多边形,为了精确测定其面积,本文采用多个测量轴的二次平均法[15-16],即首先根据圆盘的不规则程度确定4~8个相互垂直的方向轴,然后测定各方向轴上髓心距边材外边界的距离,记为Di(i=1,2,3,4,5,6,7,8),同时测定该方向轴上髓心距心材外边界(即心边材的界限)的距离,记为di。圆盘总横截面面积(ST)、心材横截面面积(SH)以及心材比例(Q)的计算公式如下:
|
(1) |
|
(2) |
|
(3) |
式中:n表示测量方向轴的数量,取决于横截面的不规则程度,一般取4,很不规则时取8。
1.2.2 木材样品的取样方法木材样品的取样参考Brand等[17]方法,以南北方向为纵轴,东西方向为横轴,用木凿依次凿取髓心以及东、南、西、北4个方向上心材中部(即心材半径的一半)、心材外部(不含边材)和边材的样品各5.0 g,用于提取精油并分析其成分组成,每个圆盘共凿取样品13份。
1.2.3 精油提取和含量计算方法精油的提取采用乙醚浸渍法[10],将不同位置提取的样品分别粉碎、过筛,然后用无水乙醚进行提取,精油含量的计算方法参见文献[5]。
1.2.4 精油成分分析方法应用Finnigan TRACE GC-2000-MSTM气相色谱-质谱联用仪分析上述檀香精油样品,色谱柱、色谱条件以及各成分结构及含量的判定方法参见文献[18]。
1.2.5 统计分析方法采用SigmaPlot 13.0进行作图,用SPSS 17.0对檀香不同部位的精油含量、成分含量等进行方差分析,均值的多重比较采用Duncan's新复极差法(检验水平α=0.05)。
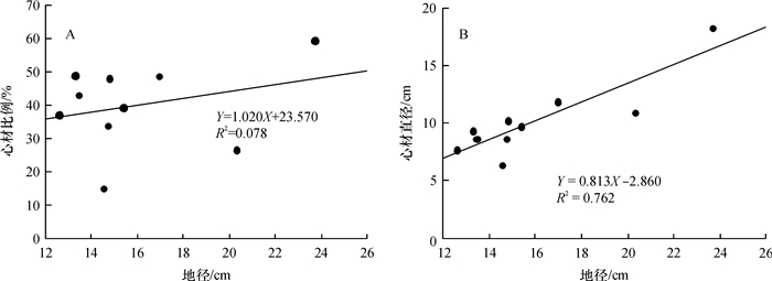
2 结果与分析 2.1 心材形成和比例分析抽样调查结果显示,海南尖峰岭21年生檀香人工林都自然形成了心材,30 cm高处心材横截面面积及比例见表 1。由表 1可看出,檀香心材比例和心材直径的变异系数均比地径大,说明心材直径和心材比例比地径的数值更加离散。地径与心材比例、心材直径之间的关系见图 1。由图 1可知,21年生檀香的地径与心材比例之间没有明显的线性关系(r=0.279),而与心材直径有较明显的线性关系,并且呈正相关(r=0.873)。
|
|
表 1 海南尖峰岭21年生檀香人工林心材比例变化 Table 1 Variation of heartwood proportion of 21-year-old sandal plantation in Jianfeng mountain, Hainan |
|
图 1 檀香心材比例、心材直径与地径的关系 Figure 1 Relationship between heartwood proportion, heartwood diameter and ground diameter of sandal |
海南尖峰岭21年生檀香人工林精油含量在径向和方位的分布如图 2所示。由图 2可知,檀香心材的精油含量均显著高于边材(P < 0.05),但心材不同径向距离之间的精油含量差异不显著,这进一步验证了檀香的精油主要分布在心材,而边材仅含少量精油这一观点[5, 19]。檀香心材精油含量在东、南、西、北4个方位的分布差异不显著(P=0.197)。
|
图 2 檀香人工林木材圆盘不同径向和方位精油含量的分布特征 Figure 2 Radius and azimuth distribution of essential oil content in sandal plantation 柱子上的Bar表示1个标准差,绝对含量(或相对含量)的柱子上方,凡具有一个相同大写(或小写)字母者,表示径向间或方位间差异不显著(Duncan's新复极差法,P > 0.05)。 |
檀香木材圆盘不同径向部位其精油的成分组成和相对含量各不相同,各组分名称及相对含量见表 2。海南尖峰岭21年生檀香人工林的木材精油中共鉴定出42种成分,其中,边材40种,心材外部18种,心材中部13种,心材中心(髓)15种。从檀香边材鉴定出的精油成分种类比心材外部、中部和髓部多122.2%、207.7%和166.7%,方差分析及均值的多重比较结果显示,4个不同径向位置的精油中有以下8种成分的含量差异达显著水平(P < 0.01):α-檀香醇、β-檀香醇、棕榈酸、反式-α-香柠檬醇、表-β-檀香醇、正十七烷、檀油醇、α-柏木烯。
|
|
表 2 檀香人工林精油中各成分及含量的径向分布 Table 2 Radius distribution of essential oil composition and content in sandal plantation |
按照檀香木油的国际质量标准(ISO 3518:2002)[20],α-檀香醇和β-檀香醇相对含量分别满足41%~55%和16%~24%的檀香木油即达到国际质量标准。海南尖峰岭21年生檀香人工林30 cm高处木材圆盘的髓、心材中部和心材外部的α-檀香醇相对含量依次为46.95%、45.69%和43.60%,β-檀香醇相对含量依次为24.23%、23.49%和23.70%,均达到了国际质量标准,而边材的α-檀香醇和β-檀香醇相对含量分别仅为27.44%和14.57%,未达到该质量标准。
2.5 与其他种植地的比较抽样调查结果显示,在管理粗放的经营措施下,海南尖峰岭21年生檀香的自然结香率约100%;而种植在其天然分布区——印度班加罗尔(Bangalore)的20龄檀香,调查发现其自然结香率仅为86%[21];澳大利亚最大的种植区库努纳拉(Kununurra)14龄檀香的自然结香率也仅有75%左右[22],16龄时自然结香率约为90.1%[17];我国广东的6龄檀香,自然结香率为15%~20%[10],这很可能表明檀香在我国有较高的自然结香率。上述各种植地檀香生长、心材比例以及精油含量的比较结果见表 3。
|
|
表 3 檀香在不同种植区的生长、心材比例及精油含量比较 Table 3 Comparisons of growth, heartwood proportions and essential oil contents of sandal at different locations |
尽管树龄和种植地立地条件存在一定的差异,但总体结果表明,檀香在海南尖峰岭的生长表现良好,生长速度快,心材比例和精油含量均较高,而且心材的精油质量均达到了国际标准,高于市场贸易的准入标准[23](α-檀香醇、β-檀香醇相对含量分别不低于43%和18%的檀香油方可在市场交易),经济价值非常可观,种植前景好,是值得大面积推广种植的经济树种。
檀香精油主要集中在心材,边材仅含少量可检测的精油,这和早期的研究结果一致[19],本研究发现檀香心材的不同径向位置的精油含量差异不显著,而Shankaranarayana等[24]发现檀香精油的含量由心材中心到心边材交界处逐渐减少,并且递减量高达70%,这很可能是由于精油的提取方法不一致所引起的,本研究采用溶剂浸提法,Shankaranarayana等[24]则采用蒸馏法;不同方位精油含量差异不显著很可能表明,檀香精油的形成是一个相对独立的生理过程,受光照、温度、水分等小气候环境的影响较小;此外,檀香心材直径和地径大小呈线性正相关,这点和其他树种的规律类似,如柚木Tectona grandis[15]、黑木相思Acacia melanoxylon[25]等,意味着地径生长量越大的檀香,其心材直径就越大,这个研究结果为檀香的良种选育工作指明了方向。
檀香边材精油中正十七烷、檀油醇和棕榈酸的含量均显著高于心材,而檀香精油主要成分(如α-檀香醇、反式-α-香柠檬醇、表-β-檀香醇和β-檀香醇等)的含量则显著比心材低,这表明在檀香的心材形成过程中,正十七烷、檀油醇和棕榈酸很可能是作为底物或中间体参与到心材形成的次生代谢过程,通过一系列的合成或裂解代谢途径,最终合成檀香精油,增加心材中檀香精油主要成分的含量,使边材逐渐转化为心材,这点有待更进一步的深入研究才能证实。
| [1] |
TAYLOR A M, GARTNER B L, MORRELL J J. Heartwood formation and natural durability-a review[J]. Wood Fiber Sci, 2002, 34(4): 587-611. ( 0) |
| [2] |
叶创兴, 朱念德, 廖文波, 等. 植物学[M]. 北京: 科学出版社, 2007, 99-100.
( 0) |
| [3] |
高慧, 方露, 杨金鹏, 等. 枫杨心材与边材硫酸盐法制浆性能的比较[J]. 东北林业大学学报, 2011, 39(2): 40-42. DOI:10.3969/j.issn.1000-5382.2011.02.013 ( 0) |
| [4] |
JOHANNES S, PEER H. Is oxygen involved in beech (Fagus sylvatica) red heartwood formation?[J]. Trees-Struct Funct, 2008, 22(2): 175-185. DOI:10.1007/s00468-007-0187-2 ( 0) |
| [5] |
刘小金, 徐大平, 杨曾奖, 等. 檀香心材和边材的精油含量及成分差异[J]. 森林与环境学报, 2015, 35(3): 219-224. ( 0) |
| [6] |
BRAND J E, FOX J E D, PRONK G, et al. Comparison of oil concentration and oil quality from Santalum spicatum and S. album plantations, 8-25 years old, with those from mature S. spicatum natural stands[J]. Aust Forest, 2007, 70(4): 235-241. DOI:10.1080/00049158.2007.10675025 ( 0) |
| [7] |
SUBASINGHE U, GAMAGE M, HETTIARACHCHI D S. Essential oil content and composition of Indian sandalwood (Santalum album) in Sri Lanka[J]. J Forest Res, 2013, 24(1): 127-130. DOI:10.1007/s11676-013-0331-3 ( 0) |
| [8] |
李应兰. 檀香引种研究[M]. 北京: 科学出版社, 2003.
( 0) |
| [9] |
林励, 徐鸿华. 不同引种地檀香质量的研究[J]. 中药材, 1995, 18(8): 411-413. ( 0) |
| [10] |
刘小金, 徐大平, 杨曾奖, 等. 广东三地幼龄檀香生长和结香的早期评价[J]. 林业科学, 2012, 48(5): 108-115. ( 0) |
| [11] |
周庆年, 刘文杰, 李惠敏, 等. 檀香树在西双版纳的结香情况和栽培技术[J]. 热带农业科技, 1982(2): 48-50. ( 0) |
| [12] |
广东省湛江南药试验场. 湛江引种檀香树结香的观察[J]. 中药材科技, 1983(5): 1-2. ( 0) |
| [13] |
刘中秋, 徐鸿华, 刘心纯, 等. 引种檀香不同部位的质量研究[J]. 广州中医药大学学报, 1996, 13(3/4): 72-75. ( 0) |
| [14] |
JONES C G, PLUMMER J A. Non-destructive sampling of Indian sandalwood (Santalum album L.) for oil content and composition[J]. J Essent Oil Res, 2007, 19(2): 157-164. DOI:10.1080/10412905.2007.9699250 ( 0) |
| [15] |
KOKUTSE A D, BAILLERES H, STOKES A, et al. Proportion and quality of heartwood in Togolese teak (Tectona grandis L.f.)[J]. Forest Ecol Manag, 2004, 189(1/2/3): 37-48. ( 0) |
| [16] |
BIERTHIER S, KOKUTSE A D, STOKES A, et al. Irregular heartwood formation in Maritime pine (Pinus pinaster Ait): Consequences for biomechanical and hydraulic tree functioning[J]. Ann Bot, 2001, 87(1): 19-25. DOI:10.1006/anbo.2000.1290 ( 0) |
| [17] |
BRAND J E, NORRIS L J, DUMBRELL I C. Estimated heartwood weights and oil concentrations within 16-year-old Indian sandalwood (Santalum album) trees planted near Kununurra, Western Australia[J]. Aust Forest, 2012, 75(4): 225-232. DOI:10.1080/00049158.2012.10676406 ( 0) |
| [18] |
NICOLAS B, DELASALLE C, DANIEL J. Phytochemistry of the heartwood from fragrant Santalum species: A review[J]. Flavour Frag J, 2011, 26(1): 7-26. DOI:10.1002/ffj.v26.1 ( 0) |
| [19] |
SHANKARANARAYANA K H, RAVIKUMAR G, RANGASWAMY C R, et al. Oil in depot-based sapwood of sandal[J]. My Forest, 1997, 33(3): 581-582. ( 0) |
| [20] |
ISO. Oil of sandalwood (Santalum album L. ): ISO 3518: 2002[S/OL]. 2nd ed. Geneva, Switzwerland: International Organization for Standardization. 2002. [2013-05-10]. https://en.wikipedia.org/wiki/Sandalwood_oil.
( 0) |
| [21] |
ARUNKUMAR A N, SRINIVASA Y B, JOSHI G, et al. Variability in and relation between tree growth, heartwood and oil content in sandalwood (Santalum album L.)[J]. Curr Sci India, 2011, 100(6): 827-830. ( 0) |
| [22] |
BRAND J, KIMBER P, STREATFIELD J. Preliminary analysis of Indian sandalwood (Santalum album L.) oil from a 14-year-old plantation at Kununurra, western Australia[J]. Sandalwood Res Newsl, 2006, 21: 1-3. ( 0) |
| [23] |
HOWES M J R, SIMMONDS M S J, KITE G C. Evaluation of the quality of sandalwood essential oils by gas chromatography-mass spectrometry[J]. J Chromatogr A, 2004, 1028(2): 307-312. DOI:10.1016/j.chroma.2003.11.093 ( 0) |
| [24] |
SHANKARANARAYANA K H, RAVIKUMAR G, RAJEEVALOCHAN A N, et al. Content and composition of oil from the central and transition zones of the sandalwood disc[C] // RADOMILJAC A M, ANANTHAPADMANABHO H S, WELBOURN R M, et al. Sandal and its products. Bangalore, India: Australian Centre for International Agricultural Research, 1998: 86-88.
( 0) |
| [25] |
KNAPIC S, TAVARES F, PEREIRA H. Heartwood and sapwood variation in Acacia melanoxylon R. Br. trees in Portugal[J]. Forestry, 2006, 79(4): 371-380. DOI:10.1093/forestry/cpl010 ( 0) |
2016, Vol. 37



0)