沉香为一种高价值且具有芳香味的心材物质,主要由瑞香科Thymelaeaceae沉香属Aquilaria或拟沉香属Gyrinops包括19个树种在内的树体受胁迫产生[1]。它是一种非常名贵的中药,在东南亚、印度和中东各国也被奉为神药,对心脏病、肠胃疾病、中枢神经系统疾病,甚至皮肤病都有显著的疗效[2]。一些沉香制品是佛教、印度教和穆斯林祭祀典礼时必备的祭祀物,由其提取的精油也是东南亚各国所用香水中的重要成分[3]。天然的沉香树只有受到胁迫时,才能形成沉香,这是一个偶发的现象,而且需要经历一个漫长的过程。近年来,人们对沉香资源需求的增长和已有天然沉香的毁灭性采掘,导致天然的沉香资源已几近枯竭。为了保障沉香资源的合理和可持续利用,2004年开始,《濒危野生动植物种国际贸易公约》已将能够结香的树种全部列为了Ⅱ级受保护植物。白木香Aquilaria sinensis为我国特有产香树种,在海南、广东和广西等地均有广泛栽培[4]。
沉香资源的匮乏使得沉香树体结香机制的研究已势在必行。Nobuchi等[5]认为沉香形成首先表现为薄壁细胞内淀粉含量的降低,同时这些活细胞液泡化,进而有黄褐色液滴形成,物质检测发现液滴中含有酚类物质。沉香挥发油中的次生代谢物兼具抗菌和促进导管堵塞的功能,是最终沉香物质形成的关键因素[6]。沉香树体内次生代谢物的产生是抵抗胁迫的结果[1],而抗逆能力的强弱一定程度上依赖于过氧化物酶(POD)、过氧化氢酶(CAT)和超氧化物歧化酶(SOD)对活性氧(ROS)的清除作用[7-8]。一氧化氮(NO)的氧化和抗氧化的双重功能,决定了其在植物防御反应机制研究中的重要性[9]。
刘娟[10]将通体结香技术运用于4年生白木香幼树,分层采样测定结果表明,不同分层中淀粉及还原糖和油滴状物质呈显著相关关系。张兴丽[11]对3年生白木香幼树做修剪处理,探究沉香物质形成过程中淀粉、还原糖、丙二醛(MDA)含量、活性氧清除酶和一氧化氮合酶(NOS)活性等变化趋势,结果表明沉香形成过程中物质代谢途径发生了变化,有关酶活性发生急剧变化。但目前对大树抗逆性与结香关系的研究甚少,分析结香时树体变色部位的相关物质含量及酶活性的研究鲜见报道。本文通过对8年生白木香进行激素、盐、真菌和物理创伤处理,检测结香树体创伤部位抗活性氧酶、次生代谢酶活性和其他抗逆指标,分析其综合抗逆能力,探究不同处理沉香树体抗逆能力与其结香质量之间的关系,为沉香结香技术和机理的研究提供一定的理论依据。
1 材料与方法 1.1 材料与试验地概况试验材料为广东种源的8年生白木香,试验地位于广东省惠州市惠东县白盆珠镇,属莲花山,为花岗岩地质;南亚热带季风气候,年均气温22.0 ℃,年均日照2 038.9 h,≥10 ℃年积温7 947.9 ℃;年均降雨量1 935.7 mm;年均相对湿度80%,年蒸发量1 875 mm,常年基本无霜;土壤为山地红壤。试验林为8年生白木香人工林,林木胸径为9~10 cm。
1.2 试验方法试验分4类15个处理和2个对照。试验所用激素为乙烯利(Et)、茉莉酸甲酯(MeJA)、六苄基嘌呤(6-BA)和脱落酸(ABA),处理1(MeJA+ABA),处理2(MeJA+ Et),处理3(6-BA + ABA),处理4(6-BA + Et),各激素的质量分数均为3‰;盐处理为亚硫酸氢钠(NaHSO3)、氯化钠(NaCl)和氯化亚铁(FeCl2)混合物,浓度为不平衡的均匀设计所得,处理5 ~8 NaHSO3、NaCl和FeCl2的质量分数组合分别为3.0‰+10.0‰+20.0‰、1.0‰+2.5‰+5.0‰、3.0‰+5.0‰+2.5‰、1.0‰+20.0‰+10.0‰;处理9为阴性对照(清水注射液);处理10~13为真菌处理,分别为黑绿木霉Trichoderma atroviride、腐皮镰孢Fusarium solani、葡萄座腔菌Botryosphaeria dothidea和龙眼焦腐病菌Lasiodiplodia theobromae,将不同真菌于28 ℃下恒温培养于马铃薯葡萄糖水(广东环凯)中,5 d后菌液经双层纱布过滤得处理液;处理14~16为物理创伤,处理14为敲皮:用橡皮锤敲击树体基部0.5 m以上,长度为60 cm,宽度为半个树直径的区域;处理15为开香门:用钢锯在树体基部0.5 m以上,每隔20 cm螺旋式开3个长度为10 cm,深度为1/3树干直径的“香门”;处理16为火烧孔:树干0.5 m以上部分,用烧红的铁钎,每隔20 cm螺旋式上升钻直径为1 cm的通透孔5个;处理17为空白对照(CK),不做任何处理。所有液体处理方法为:在目标树距地面50和60 cm处钻孔,孔径为0.5 cm,孔深6 cm,2孔呈90度交叉;选择晴朗无风的天气,将液体500 mL以最快的速度滴注入树干,滴注2次(2015年5月和7月)。
于2015年5月,采用随机区组方法选取试验目标树,每处理均为3株(单株重复),共51株。并调查目标树的初始特征。
1.3 测定指标和方法2015年11月进行采样测定,敲皮处理将受伤树皮撕下,用凿子和手刀锯将“香门”面变色部分取下,火烧孔取孔周围变色部分。液体处理在每个孔上下各取厚度为3 cm、半径为5 cm的半圆盘2个。所有木材样品投入液氮中带回实验室,剔除白木和腐烂部分,用液氮磨成粉后放入超低温冰箱(-80 ℃)备用。挥发油提取采用超声波辅助溶剂萃取法,称取上述木粉3 g,60 ℃烘干48 h至恒质量,在60 ℃、37 kHz条件下,用体积分数为95%乙醇在超声波清洗器(德国,Elmasonic P300H)中萃取30 min,过滤后,在旋转蒸发仪中蒸干,计算挥发油质量分数。淀粉及还原糖采用改良的蒽酮-硫酸比色法测定[10],MDA含量采用硫代巴比妥法以及苯丙氨酸转氨酶(PAL)、POD、CAT的测定参照陈建勋[12]的方法,总酚含量测定采用福林法[13],SOD和NOS活性采用南京建成公司生产的试剂盒测定。
1.4 数据处理运用Excel进行数据预处理,数据的统计分析采用SPSS18.0来进行,其中挥发油和可溶性糖含量在方差分析时分别进行反正弦和对数转换,目标树基本特征均值数据来源于3株目标树,多重比较采用Duncan’s法。
2 结果与分析 2.1 不同处理目标树特征及挥发油质量分数分析由表 1可知,各处理目标树胸径、树高和冠幅均值均无显著差异,且其最小值为最大值的0.93、0.89和0.70倍。
|
|
表 1 目标树基本特征1) Table 1 Basic characteristics of the sampling trees |
1~17种处理挥发油质量分数依次为6.87%、8.48%、7.20%、6.57%、6.68%、7.02%、7.50%、9.86%、4.47%、12.46%、10.95%、12.15%、10.03%、4.76%、5.70%、6.21%和3.14%。其中敲皮处理、阴性对照(NK)和空白对照(CK)均小于5%,其他处理均显著高于空白对照,依次为空白对照组的2.09、2.70、2.30、2.19、2.13、2.39、2.24、3.14、3.97、3.19、3.87、3.49、1.98和1.82倍,其中真菌类处理挥发油质量分数均显著高于其他处理(除处理8外)。处理2、8、10和16白木香挥发油质量分数为8.48%、9.86%、12.46%和6.21%,接近或已达沉香入药标准(w > 10%),说明4类处理中,这4种处理最有利于沉香树体结香。
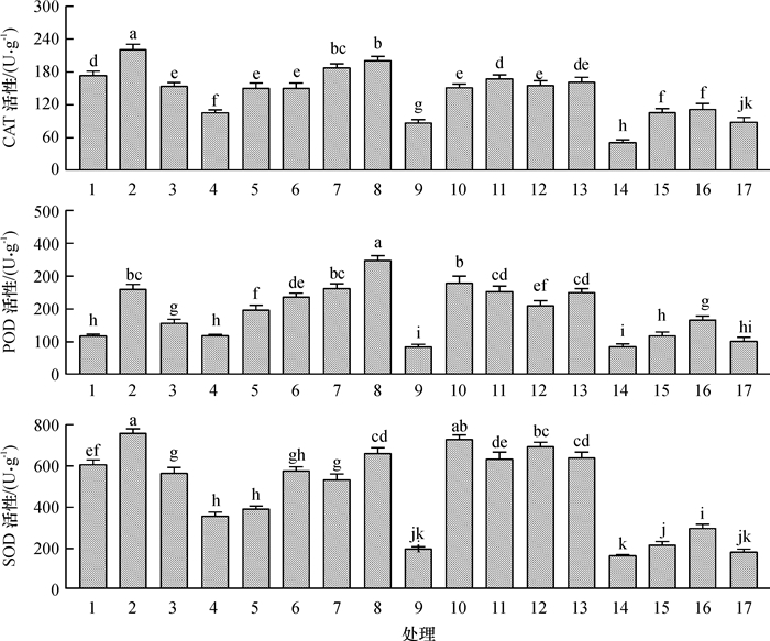
2.2 不同处理对白木香树体抗活性氧酶、NOS、PAL活性的影响不同白木香树体抗活性氧酶活性变化如图 1所示。经方差分析可得:4种激素处理中,2号处理CAT、POD和SOD活性显著最高;盐类处理中,8号处理POD和SOD活性显著最高,其CAT活性高于7号,且显著高于同组其他处理;真菌类处理中,处理11的CAT活性高于处理13,并显著高于同类其他处理,处理10的POD和SOD活性为同类最高;物理创伤类处理中,16号处理的3种酶活性均为同类最高;其中激素类、盐类和真菌类所有处理3种酶活性显著高于空白对照和负对照。
|
图 1 不同处理的过氧化氢酶、过氧化物酶和超氧化物歧化酶活性 Figure 1 Comparisons of CAT, POD and SOD activities for different treatments 各图柱子上方,凡具有一个相同小写字母者,表示各处理间差异不显著(Duncan’s法,P > 0.05)。 |
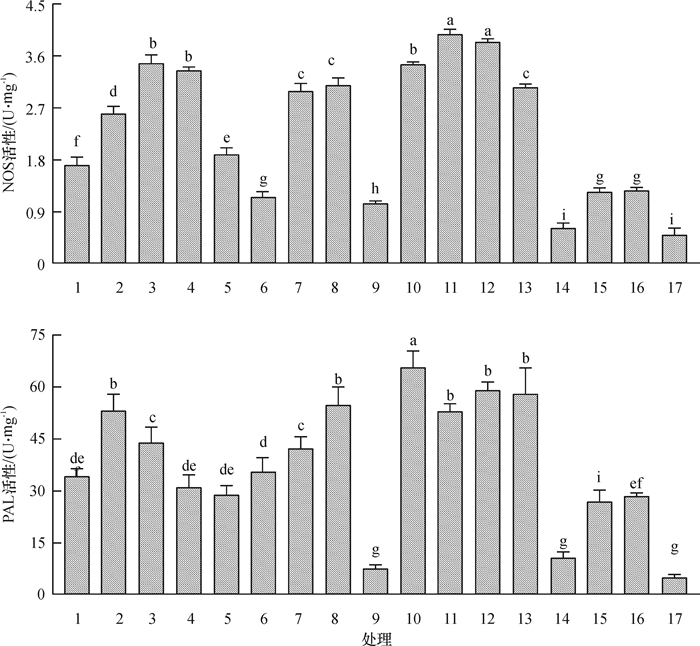
不同处理NOS和PAL活性变化如图 2所示。方差分析可知,各处理间NOS和PAL活性差异显著。激素、盐、真菌和物理创伤类处理中,其NOS活性各自最高的处理依次为3、8、11和16,各类处理中NOS活性均有2个处理显著高于其他2个处理。各类处理中2、8、10和16号PAL活性为同类最高处理,且显著高于同类其他处理。
|
图 2 不同处理的一氧化氮酶和苯丙氨酸转氨酶活性 Figure 2 Comparisons of NOS and PAL activities for different treatments 各图柱子上方,凡具有一个相同小写字母者,表示各处理间差异不显著(Duncan′s法,P > 0.05)。 |
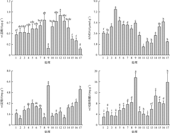
总酚含量在激素类各处理间无显著差异;盐类处理中,处理8与处理7无显著差异,但显著高于处理5和6;真菌处理12与处理11和13无显著差异,但显著高于处理10;物理创伤类处理14显著高于处理15和16,负对照和空白对照均显著低于其他处理(图 3)。
|
图 3 不同处理的总酚、丙二醛、淀粉和可溶性糖含量 Figure 3 Comparisons of total phenol, MDA, starch and soluble sugar contents for different treatments 各图柱子上方,凡是具有一个相同小写字母者,表示各处理间差异不显著(Duncan’s法,P > 0.05)。 |
各处理间MDA含量变化趋势较复杂:激素类处理2低于处理1,且显著低于处理3和4;盐类的4个处理MDA含量呈下降趋势,8号处理显著最低; 真菌类的11号处理显著最低; 物理创伤类除14号处理外,其他处理的MDA含量较高(图 3)。
处理2、8、13和14的淀粉含量为各类中最低(图 3),而处理2、8、13和14的可溶性糖含量为同类中显著最高,说明MeJA和Et处理,NaHSO3(w=1‰)、NaCl(w=20‰)和FeCl2(w=10‰)处理,黑绿木霉处理使白木香树体受胁迫较大,将淀粉转化成为了可溶性糖。
2.4 不同处理白木香树体抗逆能力与结香的关系为了全面合理地评价各处理白木香树体抗逆能力,采用主成分分析法对其进行综合评价。以CAT活性、POD活性、SOD活性、NOS活性、PAL活性、MDA含量、总酚含量、可溶性糖含量和淀粉含量等9个抗逆指标为变量,以累积贡献率大于85%,确定主成分个数。本研究中,抽取主成分数为3时,累积贡献率达88.98%。分析可得,各处理(得分)依次为:1(0.01)、2(1.83)、3(0.70)、4(-0.29)、5(-0.26)、6(0.05)、7(1.09)、8(2.31)、9(-3.77)、10(2.10)、11(1.97)、12(2.07)、13(1.77)、14(-2.51)、15(-1.76)、16(-1.51)和17(-3.82),其中空白对照抗逆能力最差,负对照次之,各激素、盐类、真菌和物理创伤类处理中排名较高的处理依次为:处理2(MeJA和Et),处理8[NaHSO3(w=1‰)、NaCl(w=20‰)和FeCl2(w=10‰)]、处理10(黑绿木霉)和处理16(火烧孔)。对比各处理的挥发油含量可知,各处理中抗逆能力高者,挥发油含量也高。将两者进行线性拟合,可得拟合度大于0.8。说明白木香树体抗逆能力的高低与挥发油含量密切相关。
3 讨论与结论沉香形成是一个树体抗胁迫的过程,最初的人工促进手段,源于人们对天然结香方式的模仿和演化。物理创伤手段(砍伤、火烧等)促进结香的原因,被认为与开放的伤口以及氧化作用有关[14]。本研究中,物理创伤处理(除敲皮处理细胞受损严重)挥发油含量低和可溶性糖含量较高,是因为白木香树体受伤后,开放伤口可以满足伤口周围细胞活性氧增加时对氧的需求[15],较高活性的CAT、POD和SOD以及NOS,不足以完全清除这些有害物,且总酚物质含量不高,与活性氧的氧化交联作用不明显[16],而导致MDA含量较高,膜质过氧化,即抗逆能力不高, 导致薄壁细胞内次生代谢反应较弱(PAL活性低)和呼吸代谢的速率(如淀粉转化速率低)较低。
植物受胁迫时,首先是刺激信号的接收,最新研究认为脱落酸(ABA)和乙烯(ETH)是最有可能的信号分子[17]。基于此理论,有促进树体次生代谢物产生的研究中,将这些信号分子的类似物注入树体中[17]。王之胤[18]研究表明茉莉酸甲酯和乙烯利进入白木香树体后,水解为茉莉酸和乙烯,启动树体内防御反应,从而促进沉香物质积累。本研究中可见注入ABA的白木香树体韧皮部有明显的坏死现象,且结香部位呈深黑色,可能有部分细胞已经失活,所以各ABA处理酶活性和抗逆物质含量较低。6-BA和MeJA效果也不及MeJA和Et处理,原因是MeJA和Et可以促进树体防御反应的及时发生,抗活性氧酶活性较高,可以应对细胞过氧化(MDA含量低),同时NOS活性也最高,可以促进NO的合成,促使逆境信号的传导,抗逆能力提高,从而促进淀粉的代谢,可溶性糖含量增加和PAL活性提高[19],同时促进微生物之间的物质交换[20],使次生代谢产物积累[21]。
Blanchette等[22]研究表明NaHSO3、NaCl和FeCl2单独使用均可以促进沉香树结香。本研究采用均匀设计来检测盐处理对白木香树体的影响。分析显示NaHSO3(w=1‰)、NaCl(w=20‰)和FeCl2(w=10‰)综合处理抗逆能力最强,可能是此处理Na+供给最多,当树体受盐胁迫时,能保证活细胞内高渗状态的保持[23],使得淀粉含量降低,可溶性糖含量升高,所以白木香树体抗逆性增强,相关酶活性较高,次生代谢能力也提高。
研究表明一些沉香树体内生真菌,可以促进树体结香,但是其效果差异较大[24]。本研究中所用4种真菌抗逆能力在16个处理中排名均处于前列(排名2、4、3、6),这是因为真菌促使白木香树体木质部由白色变为棕褐色,是一个真菌和寄主(树体)相互作用的过程[25]。首先树体要感受真菌的刺激,真菌代谢液中可能存在诸多的信号分子,可以促使树体胁迫信号的转导,进而使得相关基因的表达,使得抗逆反应及时发生,最终在树体内积累一定量的次生代谢物[26]。本研究中挥发油质量分数(大于10%)和总酚质量分数(大于0.71 μg·g-1)等指标的变化与上述研究结果一致。
处理2(MeJA和Et)、处理8[NaHSO3(w=1‰)、NaCl(w=20‰)和FeCl2(w=10‰)]、处理10(黑绿木霉)和处理16(火烧孔)抗逆能力较强,可以有效促进白木香树体次生代谢物的积累,结香质量高(挥发油质量分数高),应为白木香树体诱导方式的优先选择。这几种激素、盐和真菌代谢液是否可以协同促进白木香树体结香,以及其混合时最佳浓度配比,还有待进一步的研究。
| [1] |
张争, 杨云, 魏建和, 等. 白木香结香机制研究进展及其防御反应诱导结香假说[J]. 中草药, 2010, 41(1): 156-159. ( 0) |
| [2] |
中国国家药典委员会. 中华人民共和国药典: 一部[S]. 北京: 中国医药科技出版社, 2010: 172.
( 0) |
| [3] |
PERSOON G A, BEEK H H V. Growing 'the wood of the gods': Agarwood production in southeast asia[M]// SNELDER D J, LASCO R D. Smallholder tree growing for rural development and environmental services. Berlin: Springer Netherlands, 2008: 245-262.
( 0) |
| [4] |
CHEN H Q, WEI J H, YANG J S, et al. Chemical constituents of agarwood originating from the endemic genus aquilaria plants[J]. Chem Biodivers, 2012, 9(2): 236-250. DOI:10.1002/cbdv.v9.2 ( 0) |
| [5] |
NOBUCHI T, SIRIPATANADILOK S. Preliminary observation of Aquilaria crassna wood associate with the formation of aloeswood[J]. Bulletin of the Kyoto University Forests, 1991, 63(2): 226-235. ( 0) |
| [6] |
ZHANG Z, HAN X M, WEI J H, et al. compositions and antifungal activities of essential oils from agarwood of aquilaria sinensis (lour.) gilg induced by lasiodiplodia theobromae (pat.) griffon. & maubl[J]. J Brazil Chem Soc, 2014, 25(1): 20-26. ( 0) |
| [7] |
RON M, SANDY V, NOBUHIRO S, et al. ROS signaling: The new wave?[J]. Trends Plant Sci, 2011, 16(6): 300-309. DOI:10.1016/j.tplants.2011.03.007 ( 0) |
| [8] |
SUZUKI N, MILLER G, MORALES J, et al. Respiratory burst oxidases: The engines of ROS signaling[J]. Curr Opin Plant Biol, 2011, 14(6): 691-699. DOI:10.1016/j.pbi.2011.07.014 ( 0) |
| [9] |
CORPAS F J, BARROSO J B. Functional implications of peroxisomal nitric oxide (NO) in plants[J]. Front Plant Sci, 2014, 5(5): 240-240. ( 0) |
| [10] |
刘娟. 程序性细胞死亡与沉香倍半萜次生代谢关系的探索研究[D]. 北京: 北京协和医学院, 2015: 41. http://cdmd.cnki.com.cn/Article/CDMD-10023-1015353508.htm
( 0) |
| [11] |
张兴丽. 伤害诱导的白木香防御反应与沉香形成的关系研究[D]. 北京: 北京林业大学, 2013: 78-85. http://cdmd.cnki.com.cn/Article/CDMD-10022-1013214007.htm
( 0) |
| [12] |
陈建勋. 植物生理学实验指导[M]. 广州: 华南理工大学出版社, 2002, 57-74.
( 0) |
| [13] |
李庆, 叶华智, 杨群芳, 等. 七种与小麦近缘的野生植物对禾谷缢管蚜抗性的生化机制[J]. 植物保护学报, 2004, 31(1): 1-5. ( 0) |
| [14] |
POJANAGAROON S, KAEWRAK C. Mechanical methods to stimulate aloes wood formation in Aquilaria crassna pierre ex h.lec. (kritsana) trees[J]. Acta Hort, 2005, 2: 161-166. ( 0) |
| [15] |
BOLWELL G P. The origin of the oxidative burst in plants[J]. Biochem Soc Trans, 1996, 23(2): 517-532. ( 0) |
| [16] |
RAZEM F A, BERNARDS M A. Reactive oxygen species production in Association with suberization: Evidence for an NADPH-dependent oxidase[J]. J Exp Bot, 2003, 54(384): 935-941. DOI:10.1093/jxb/erg094 ( 0) |
| [17] |
SALTVEIT M E. Wound induced changes in phenolic metabolism and tissue browning are altered by heat shock[J]. Postharvest Biol Tec, 2000, 21(1): 61-69. DOI:10.1016/S0925-5214(00)00165-4 ( 0) |
| [18] |
王之胤. 白木香树木中脂类物质形成的激素诱导研究[D]. 南京: 南京林业大学, 2013: 2. http://cdmd.cnki.com.cn/Article/CDMD-10298-1013046162.htm
( 0) |
| [19] |
郝岗平, 杜希华, 史仁玖. 干旱胁迫下外源一氧化氮促进银杏可溶性糖、脯氨酸和次生代谢产物合成[J]. 植物生理与分子生物学学报, 2007, 32(6): 499-506. ( 0) |
| [20] |
ARASIMOWICZ M, FLORYSZAK-WIECZOREK J. Nitric oxide as a bioactive signalling molecule in plant stress responses[J]. Plant Sci, 2007, 172(5): 876-887. DOI:10.1016/j.plantsci.2007.02.005 ( 0) |
| [21] |
BHATTACHARYA A, SOOD P, CITOVSKY V. The roles of plant phenolics in defence and communication during Agrobacterium and Rhizobium infection[J]. Mol Plant Pathol, 2010, 11(5): 705-719. ( 0) |
| [22] |
BLANCHETTE R A, VAN BEEK H H. Cultivated agarwood: US 7638145 B2[P]. 2009-12-29.
( 0) |
| [23] |
RAJPUT V D, CHEN Y, AYUP M. Effects of high salinity on physiological and anatomical indices in the early stages of populus euphratica growth[J]. Russ J Plant Physl, 2015, 62(2): 229-236. DOI:10.1134/S1021443715020168 ( 0) |
| [24] |
CUI J L, GUO S X, FU S B, et al. Effects of inoculating fungi on Agilawood formation in Aquilaria sinensis[J]. Chin Sci Bull, 2013, 58(26): 3280-3287. DOI:10.1007/s11434-013-5856-5 ( 0) |
| [25] |
MOHAMED R, JONG P L, KAMZIAH A K. Fungal inoculation induces agarwood in young Aquilaria malaccensis trees in the nursery[J]. J Forest Res, 2014, 25(1): 201-204. DOI:10.1007/s11676-013-0395-0 ( 0) |
| [26] |
ZHAO J, LAWRENCE C D, ROBERT V. Elicitor signal transduction leading to production of plant secondary metabolites[J]. Biotechnol Adv, 2005, 23(4): 283-333. DOI:10.1016/j.biotechadv.2005.01.003 ( 0) |
2016, Vol. 37



0)