2. 华南农业大学 园艺学院,广东 广州 510642
2. College of Horticulture, South China Agricultural University, Guangzhou 510642, China
叶片光合作用是影响作物产量和品质提升的重要因素之一[1]。国内外学者已对荔枝Litchi chinensis的光合特性开展了一些研究,例如,对不同荔枝品种[2-4]及幼树[5]叶片的光补偿点、光饱和点和最大光合速率、气孔导度进行了分析,以及研究了温度[6-8]、水分[9-12]、大气CO2浓度[8, 13]、钾[14]等外界因素对光合特性的影响。张规富[5]也系统地报道了荔枝幼树的光合特性,发现荔枝不同品种、不同梢次和不同时期的净光合速率日变化都具明显的差异,指出荔枝光合速率趋势变化受控于树体本身,而外界环境因子会引起趋势内的波动。除了荔枝外,其他果树如苹果[15]、柚[16-17]、葡萄[18-19]和枇杷[20]等的光合日变化特性也已有较多报道,大量的研究发现植物的光合作用受到众多的环境因子影响,这些因子又是相互影响的,因此植物不同发育时期净光合速率的关键限速因子也存在一定差异。
从物候期看,春季气温回升,正是荔枝大量开花的季节,此时花穗具有较强的库活力,正是荔枝光合效率较高的季节,也是对光合产物需求较大的季节,且荔枝属低光效作物[21],改善此时期荔枝的光合效能颇为重要。本研究以‘妃子笑’(L. chinensis cv. Feizixiao)、‘桂味’(L. chinensis cv. Guiwei)和‘糯米糍’(L. chinensis cv. Nuomici)3个主栽荔枝品种为研究对象,通过对田间自然条件下盛花期的光合、蒸腾速率等光合参数日变化进行差异比较分析,探讨影响荔枝盛花期净光合速率的主要生理生态因子,可为不同品种开花期的栽培管理提供指导。
1 材料与方法 1.1 试验材料试验材料为华南农业大学荔枝园内的‘妃子笑’、‘桂味’和‘糯米糍’3个品种,压条苗,2003年种植,每个品种选3株健壮植株,每个植株在树冠外围中部随机、均匀选取6个健壮、完全老熟的枝条,在盛花期对荔枝叶片的生理生态指标进行测定,并对光合特性进行分析。
1.2 生理生态指标测定于荔枝盛花期(3月中下旬)选取晴朗无风天气,使用LI-6400便携式光合测定系统采用开放气路方式,在不损害叶片正常生理功能的基础上,对田间3个荔枝品种的光合作用指标及相关生态指标进行连续测定,从08:00开始,每隔1 h测定1次,至17:00结束。选取不同方向枝条顶部向下数第3、4复片中部的小叶,以自然光为光源进行测定。每株每次选取均匀分布在不同方位的6个叶片测定,每个叶片重复3次,连续3天,取平均值和标准误用作结果分析。光合作用指标包括叶片净光合速率(Pn)和蒸腾速率(Tr);生态因子包括光合有效辐射(PAR)、气温(θa),生理因子包括气孔导度(Gs)、胞间CO2摩尔分数(Ci)。
瞬时水分利用效率(WUE)和光能利用效率(LUE)分别用公式计算,即:WUE = Pn/Tr;LUE =Pn/PAR。
试验数据用Office 2007和SPSS 16.0软件进行统计分析。
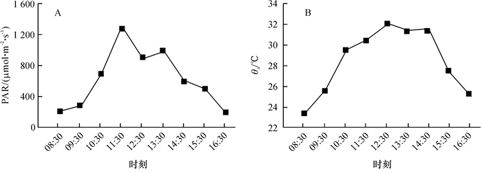
2 结果与分析 2.1 环境因子日变化植物光合指标都会随外界环境因子的变化产生自适应性调整,因此,外界环境因子的变化会使植物的光合与蒸腾作用呈现出与之对应的复杂日变化规律[1]。从图 1可以看出,荔枝盛花期PAR和θa均呈先上升后下降的单峰曲线,分别在11:30和12:30达到峰值,分别为1 300 μmol·m-2·s-1和32.13 ℃。
|
图 1 光合有效辐射和气温的日变化 Figure 1 Diurnal changes in photosynthetic available radiation and air temperature |
由图 2A可知,3个荔枝品种的Pn变化曲线呈现典型的双峰型,从08:30到10:30,Pn呈逐步增加的趋势,10:30达到第1次高峰,‘糯米糍’的Pn明显高于‘妃子笑’和‘桂味’品种;随后都不同程度地下降,至11:30时3个供试品种均表现出明显的“午休”现象;随后继续增强,于13:30出现第2次高峰,此时,‘糯米糍’、‘桂味’和‘妃子笑’的Pn依次为6.43、4.72和3.18 μmol·m-2·s-1,随后由于光照强度的减弱Pn开始持续下降。‘妃子笑’的Pn日变化趋势较为平缓。3个荔枝品种的Pn变化反映了不同荔枝品种间的光合特性存在一定差异,但其Pn日变化曲线的差异体现了荔枝对环境的适应性和植物的内在节律。
|
图 2 不同荔枝品种光合特性指标的日变化 Figure 2 Diurnal changes in photosynthetic indexes of different litchi cultivars |
3个荔枝品种的Tr日变化规律均呈典型的双峰曲线(图 2B),叶片Tr随着光照强度的增加和气温的升高而逐渐增强,3个供试品种的Tr在11:30达到第1个峰值,‘妃子笑’、‘糯米糍’的Tr明显高于‘桂味’,分别为1.037、0.971和0.704 mmol·m-2·s-1;随后逐渐下降,至12:30时3个品种均出现明显的“午休”现象。‘糯米糍’和‘妃子笑’的Tr在13:30出现第2个峰值,而‘桂味’的第2个峰值则在14:30才出现,并低于其他2个品种。‘桂味’Tr的日变化幅度小于‘妃子笑’和‘糯米糍’。
2.2.2 胞间CO2摩尔分数、气孔导度CO2作为叶片光合作用反应的底物,胞间CO2摩尔分数(Ci)主要受气孔导度(Gs)、细胞呼吸作用和光合作用等因素的影响[1]。图 2C表明,3个供试荔枝品种叶片Ci的日变化规律总体相似,但存在一定差异。经过夜间的富集,大气中CO2浓度较高,3个荔枝品种Ci在清晨较高,‘糯米糍’在09:30之前、‘桂味’在10:30之前、‘妃子笑’在11:30之前都呈下降趋势,之后有所回升,在12:30左右达到峰值;然后又迅速下降,在14:30左右降到1天中的最低值,随后略有回升;从整体趋势来看,‘妃子笑’的Ci日变化较为平缓。
从图 2D可以看出,3个荔枝品种Gs的日变化呈现早、晚较低,中午较高的特点。‘妃子笑’和‘桂味’的Gs日变化曲线在上午11:30达到峰值,‘糯米糍’在1 h后达到峰值;随后‘妃子笑’和‘糯米糍’的Gs逐渐下降,在16:30达到最低值,而‘桂味’在12:30达到最低值时又有所回升;‘糯米糍’的Gs在13:30之前低于‘桂味’和‘妃子笑’,14:00之后超过二者。
2.2.3 光合特性指标日均值的比较水分利用效率直接反映植物经济用水的能力,在相同的外界条件下,若Pn和WUE相对较大,而Tr相对较小,说明该物种的水分利用效率较高,反之水分利用效率较低[1]。表 1结果显示,‘糯米糍’品种的Pn和LUE均显著高于其他2个荔枝品种(P<0.05),同时其Tr也最高,但差异不显著(P>0.05)。3个荔枝品种的WUE差异不显著,按数值的高低排序依次为‘桂味’>‘糯米糍’>‘妃子笑’。因此,在3个荔枝品种中,‘糯米糍’属于光合速率较高、光能利用效率较高、蒸腾速率较高的品种。
|
|
表 1 不同荔枝品种光合特性指标的比较1) Table 1 Comparison of photosynthetic indexes of different litchi cultivars |
相关性分析(表 2)表明,3个供试荔枝品种的Pn均与PAR呈极显著或显著正相关。‘妃子笑’的Pn与PAR呈显著正相关(P<0.05),‘桂味’的Pn与PAR呈极显著正相关(P<0.01),与θa呈显著正相关;‘糯米糍’Pn与PAR、Gs均呈显著正相关。
|
|
表 2 不同荔枝品种Pn与生理生态因子的相关系数1) Table 2 Correlation coefficients between Pn of litchi cultivars and physiological/ecological factors |
植物Pn的日变化是植物生长状态与生理生态因子共同作用的结果[17-19]。根据以上研究结果可以把荔枝光合特性的日变化分成4个阶段:1)08:30—10:30间,荔枝叶片的Ci迅速下降,而Gs上升较为缓慢,此时Pn有所上升,但幅度逐渐减小,可能是气孔尚未完全打开或空气中CO2传递到叶肉细胞中的速度太慢,引起气孔限制值增加所造成的[22];2)10:30—11:30间,PAR逐渐接近最高值,Pn下降,Ci有所回升,Gs迅速增加至峰值;3)11:30—13:30间,PAR达到峰值后逐渐下降,Pn上升,Pn在13:30达到最高值,Ci于12:30之后逐渐降低,可能是由于胞间CO2消耗过快,导致Ci迅速下降,外界CO2传递至叶肉细胞的速度跟不上所造成的[22];4)13:30—16:30间,随着PAR继续下降,Gs下降,Ci有所增加,但Pn持续减小,可能由于随着PAR下降,光合相关酶活性持续下降,即使Ci增加,但CO2利用率下降,从而使Pn持续降低,同时,由于CO2在细胞中积累,导致Gs下降。通过相关分析可以看出,不同品种间影响Pn的主要生理生态因子存在一定差异,‘妃子笑’、‘桂味’和‘糯米糍’叶片的Pn都受PAR强弱的影响,而‘桂味’还受θa的影响,‘糯米糍’则受Gs的影响。
净光合速率日均值能够反映植物光合能力的大小,而WUE反映植物对水分的利用效率[1, 23]。试验结果表明,‘糯米糍’叶片的日均Pn显著大于其他2个品种,但其Tr和WUE与其他品种无显著性差异;‘桂味’的日均Pn相对‘糯米糍’较小(P<0.05),Tr在3个品种中最小(P>0.05),而WUE却是3个品种中最大的(P>0.05)。综合Pn、WUE和Tr 3个指标可以推测,与其他2个品种相比,‘桂味’应该是低光合、高水分利用率和低蒸腾的荔枝品种, 但该推测仍需通过采集更多的试验数据来验证。
光照强度、温度、水分和田间CO2浓度等外界环境因子及树体自身生长状况对盛花期荔枝的光合作用影响较大,光合作用的强弱直接决定着树体养分的积累,从而影响荔枝开花坐果的正常进行。因此,适时地灌溉或喷灌,可为树体提供直接的水分,促进蒸腾作用,从而有助于降低叶面温度,缩短叶片“午休”时间;合适的树体间距,既可以让叶面接受足够的光照,又可以增加通风,从而提高光合效率。
| [1] |
董智, 马宇飞, 李红丽, 等. 4个紫花苜蓿品种分枝期光合速率、蒸腾速率日变化及其影响因子分析[J]. 中国草地学报, 2009, 31(3): 67-71. ( 0) |
| [2] |
孙谷畴. 荔枝的光合特性[J]. 武汉植物学研究, 1987, 5(2): 165-172. ( 0) |
| [3] |
BATTEN D, LLOYD J, MCCONCHIE C. Seasonal variation in stomatal responses of two cultivars of lychee (Litchi chinensis Sonn.)[J]. Aust J Plant Physiol, 1992, 19(3): 317-329. DOI:10.1071/PP9920317 ( 0) |
| [4] |
HIEKE S, MENZEL C M, LUDDERS P. Effects of leaf, shoot and fruit development on photosynthesis of lychee trees[J]. Tree Physiol, 2002, 22(13): 955-961. DOI:10.1093/treephys/22.13.955 ( 0) |
| [5] |
张规富. 荔枝幼树光合特性的研究[D]. 长沙: 湖南农业大学, 2004. http://cdmd.cnki.com.cn/Article/CDMD-10537-2005041035.htm
( 0) |
| [6] |
陈厚彬. 荔枝成花诱导和花芽分化及其与温度关系的研究[D]. 广州: 华南农业大学, 2002. http://d.wanfangdata.com.cn/Thesis/Y551794
( 0) |
| [7] |
BATTEN D J, MCCONCHIE C A, LLOYD J. Effect of soil water deficit on gas exchange and water relations of orchard lychee trees[J]. Tree Physiol, 1994, 14(10): 1177-1189. DOI:10.1093/treephys/14.10.1177 ( 0) |
| [8] |
ROE D J, OOSTHUIZEN J H, MENZEL C M. Rate of soil drying and previous water deficits influence the relationship between CO2 assimilation and tree water status in potted lychee[J]. J Hortic Sci, 1995, 79(1): 15-24. ( 0) |
| [9] |
LLOYD J, WONG S C, STYLE J M, et al. Measuring and modeling whole-tree gas exchange[J]. Aust J Plant Physiol, 1995, 22(6): 987-1000. DOI:10.1071/PP9950987 ( 0) |
| [10] |
CHAIKIATTIYOS S, MENZEL C M, RASMUSSEN T S. Floral induction in tropical fruit trees: Effects of temperature and water supply[J]. J Hortic Sci, 1994, 69(3): 397-415. DOI:10.1080/14620316.1994.11516469 ( 0) |
| [11] |
CHEN L S, LIU X H. Physiology and biochemistry of litchi under drought[J]. Acta Hortic, 2001, 558: 297-299. ( 0) |
| [12] |
MENZEL C M, SIMPSON D R. Plant water relations in lychee: Diurnal variations in leaf water potential[J]. Agr Forest Meteorol, 1986, 37(4): 267-277. DOI:10.1016/0168-1923(86)90065-1 ( 0) |
| [13] |
BATTEN D J, MCCONCHIE C A. Floral induction in growing buds of lychee and mango[J]. Aust J Plant Physiol, 1995, 22(5): 783-791. DOI:10.1071/PP9950783 ( 0) |
| [14] |
邓义才, 倪耀源, 陈乃荣. 钾对荔枝光合作用和呼吸作用的影响[J]. 华南农业大学学报, 1994, 15(4): 80-84. ( 0) |
| [15] |
杨更强, 严成, 陈军纪, 等. 3种苹果属植物光合-蒸腾日变化耦合关系研究[J]. 北方园艺, 2015(8): 24-29. ( 0) |
| [16] |
姜小文. 主要柚品种光合特性研究[D]. 长沙: 湖南农业大学, 2003. http://cdmd.cnki.com.cn/article/cdmd-10537-2003087038.htm
( 0) |
| [17] |
姜小文, 易干军, 陶爱群, 等. 四季柚净光合速率与生理生态因子间的关系[J]. 中南林学院学报, 2005, 25(5): 45-48. ( 0) |
| [18] |
金莉, 周琦, 李长林, 等. 巨玫瑰和辽峰2个葡萄品种叶片光合日变化及其与环境因子的相关性[J]. 西北农业学报, 2015, 24(7): 92-97. ( 0) |
| [19] |
金莉, 李长林, 宿福园, 等. 巨玫瑰葡萄叶片光合日变化及其与环境因子的相关性研究[J]. 西南农业学报, 2015, 28(2): 768-771. ( 0) |
| [20] |
李文华, 张忠良, 鲁周民, 等. 不同枇杷品种光合作用特性研究[J]. 西北农林科技大学学报(自然科学版), 2005, 33(11): 29-33. DOI:10.3321/j.issn:1671-9387.2005.11.006 ( 0) |
| [21] |
李建国. 荔枝学[M]. 北京: 中国农业出版社, 2008, 268.
( 0) |
| [22] |
刁松锋, 邵文豪, 董汝湘, 等. 无患子光合生理日变化及其与生理生态因子的关系[J]. 西北植物学报, 2014, 34(4): 828-834. ( 0) |
| [23] |
张凯, 陈年来, 韩国君, 等. 调亏灌溉下番茄叶片气体交换日变化和光响应特性[J]. 中国沙漠, 2015, 35(4): 923-929. DOI:10.7522/j.issn.1000-694X.2014.00075 ( 0) |
2017, Vol. 38



0)