近年来,随着城镇规模的迅猛扩增,园林绿地面积也在不断增加,由此引发的园林固体废弃物处理问题也日益凸显,传统处理方法大多将其作为燃料焚烧,这不仅造成了大气环境污染和富碳资源浪费,同时也使绿地生态系统的物质循环和能量流动断裂,园林土壤肥力难以维系,将其以废弃物形式填埋于地下又会引发病菌类的土传病害。园林固体废弃物中含有大量木质纤维成分,通过微生物氧化降解作用,可使富碳物质历经腐解最终缩合成结构更为稳定的腐殖物质[1-2],这些腐殖物质可作为植物营养的来源以及土壤调理剂。可见,将园林固体废弃物进行堆肥化利用是其最佳处置途径[3]。
银中杨Populus alba×P. berolinensis、玉簪Hosta plantaginea及草坪均为北方园林系统中常见的配置植物,其所产生的落叶富含碳素及营养物质,通过合理堆制能够转化为优质有机物料[4],充当培肥沃土的基础物质。作为富碳的有机物料,其堆腐过程不免会受到C/N及pH的影响[5],较高的C/N会使微生物有更多C素需要分解,延缓了堆腐进程,而C/N过低,堆腐物料中较多N素又会激活微生物活性,使过量N素转化为氨的形式浸出或挥发[6],一般来讲,C/N为25~30是较为理想的物料基础条件[7]。落叶C/N较高、草坪碎屑C/N较低,两者混合会使混料C/N处于较适宜的范围,达到理想的堆腐效果,而pH的变化也会影响微生物活性,间接控制堆腐进程,一般认为,混料pH 7.5~8.5时堆腐效果最好[8]。当前,对于C/N调控有机物料腐解进程的研究不乏报道,但对于腐解过程pH的影响研究则相对缺乏。Kazemi等[7]指出,初始C/N对堆腐物料C/N、脱氢酶活性、葡萄苷酶活性、磷酸二酯酶活性均有显著影响,是影响堆肥成熟度及效率的主要因素。Kulcu等[9]研究了不同C/N对康乃馨废弃物及鸡粪等混料堆腐的影响。Zhu等[10]研究了水稻秸秆及猪粪混料在较低C/N下的腐解过程,结果认为,将C/N调至20会增加氮素损失、延长堆腐时间。张强等[4]指出,将C/N调至30能使园林废弃物枯枝、败叶等堆肥发酵周期缩短,总有机碳降解量和全氮相对含量有所增加,同时,堆肥pH升高。吴阳等[11]通过调控C/N可提高香樟修剪枝叶与稻壳粉混料的有机质降解率以及氮素的保蓄,最终使堆料呈弱碱性,间接促进了堆肥的腐熟进程,缩短了堆肥周期。Zhang等[12]研究指出,将残枝落叶等绿色废弃物与木屑进行混合堆腐可增加堆料的腐殖化指数,提高堆料pH和阳离子交换量,加快绿色废弃物的堆腐进程。综上,诸多报道集中于农业废弃物的堆腐,对于园林废弃物腐解规律的研究相对缺乏,而以pH、C/N为影响因素的混料腐解过程中腐殖质组成的变化更鲜见系统研究。鉴于此,本文采用室内培养法对银中杨–玉簪落叶及草坪碎屑混料进行60 d恒温好氧腐解,通过设置物料C/N为10、15和20以及pH为4、7和10,探讨其对混料腐解过程中的水溶性有机碳、可提取腐殖酸、胡敏酸、富里酸及胡敏素碳含量的影响,相关结论能够为园林废弃物“变废为宝”、建立良性园林生态系统、改善绿地肥力水平提供理论依据。
1 材料与方法 1.1 试验材料银中杨–玉簪落叶粉末:2016年10月于吉林农业科技学院篮球场北侧园林绿地,将收集的袋装落叶带回实验室,剔除多余枯枝、保留落叶,在105 ℃条件下作杀青处理,55 ℃条件下烘干至恒质量,粉碎,过1 mm筛。经测定,落叶粉末中的总有机碳、全氮、全磷和全钾质量分数分别为58.30%、2.24%、1.00%和0.77%。
草坪碎屑:2016年9月于吉林农业科技学院A座教学楼前草坪绿地(草种包括狗牙根Cynodon dactylon、早熟禾Poa Linn.及羊茅Festuca Linn.)将草坪草带回实验室,剪成0.20~0.25 cm的碎屑,经测定,草坪碎屑中的总有机碳、全氮、全磷及全钾质量分数分别为58.40%、2.68%、1.20%和2.09%。
菌剂:准确称取由盐城市神微生物菌种科技有限公司生产的粗纤维降解专用菌(水谷欣品牌,原粉粉剂,109 cfu·g–1)5 g于100 mL离心管中,注入100 mL无菌水,气浴振荡24 h后,以转速3 500 r·min–1离心10 min,上清液即为供试菌剂。
1.2 试验设计将银中杨–玉簪落叶粉末与草坪碎屑按照1∶4的质量比均匀混合,准确称取20 g混料于100 mL锥形瓶中,均匀喷洒10 mL蒸馏水,使水料质量比为1∶2,121 ℃条件下高压蒸汽灭菌30 min后自然冷却,在无菌操作环境下接种5 mL菌剂,用无菌过滤透气封口膜包扎,在28 ℃条件下恒温培养60 d,期间于0、15、30和60 d取样,每个处理重复3次。以C/N、pH为调控因素分别设置腐解条件,C/N:采用(NH4)2SO4溶液将混料初始C/N分别设置为20∶1、15∶1和10∶1,其他培养条件一致,其处理分别用C/N20、C/N15和C/N10表示;pH:采用0.1 mol·L–1 的NaOH或0.1 mol·L–1 的HCl将混料初始pH调至4、7和10,其他培养条件一致。
1.3 试验方法采用腐殖质组成修改法对采集的混料进行分析,称取过0.25 mm筛的混料2.0g于100 mL聚乙烯离心管中,加入30 mL蒸馏水搅拌均匀,在70 ℃恒温水浴振荡提取1 h,以3 500 r·min–1离心15 min,收集上清液,在带有残渣的离心管中继续加水20 mL搅拌均匀,离心,合并上清液,并用蒸馏水定容至50 mL,此组分即为水溶性有机碳(Water soluble organic carbon,WSOC)。将蒸馏水换为0.1 mol·L–1 的NaOH和0.1 mol·L–1的Na2P2O7的混合液对残渣进行2次提取,此次收集的组分为可提取腐殖酸(Humic-extracted acid,HE)。离心管中残渣用蒸馏水多次洗涤,直至洗液近中性,将其转入鼓风干燥箱,55 ℃条件下烘干至恒质量,该沉淀物即为胡敏素(Humin,Hu)。
吸取HE溶液30 mL,用0.5 mol·L–1的H2SO4将其pH调至1.0~1.5,置于70 ℃水浴锅中保温1.5 h、静置过夜,次日将溶液过滤于50 mL容量瓶、定容,此溶液即为富里酸(Fulvic acid,FA)。滤纸上残渣先用0.05 mol·L–1的H2SO4洗涤、再用温热的0.05 mol·L–1的NaOH将其溶解于50 mL容量瓶中,用蒸馏水定容,即为胡敏酸(Humic acid,HA)。腐殖质组分的有机碳[包括WSOC、富里酸碳(FAC)、胡敏酸碳(HAC)和胡敏素碳(HuC)]含量均采用外加热–重铬酸钾氧化法测定,采用北京普析通用仪器有限责任公司生产的TU-1901型紫外可见分光光度计对HA碱溶液的光密度(D400 nm、D465 nm、D600 nm和D665 nm)进行测定,并由此计算出色调系数(ΔlgK)和E4/E6[13]:ΔlgK=lgD400 nm–lgD600 nm,E4/E6=D465 nm/D665 nm。
1.4 数据处理用Excel 2003对数据进行整理,采用SPSS 18.0的单因素ANOVA和Duncan’s多重极差检验法比较不同处理数据间的差异。
2 结果与分析 2.1 C/N对银中杨–玉簪落叶及草坪碎屑混料腐解的影响 2.1.1 C/N对混料腐殖质组成的影响图1显示了C/N对混料腐解过程WSOC、HEC、HAC及HuC含量变化的影响。由图1A可见,C/N为10时,混料WSOC含量随培养进行而渐趋增加,C/N为15或20时,混料WSOC含量随培养进行先增加而后降低,最终有所消耗。由图1B可见,混料C/N为10或15时,HEC含量随培养进行而渐趋增加,培养结束后可分别增加123.4%和55.7%,而C/N为20时所表现的规律相反。由图1C可见,随培养进行,混料C/N为10或15均使混料HAC含量渐趋增加,培养结束后,前者对HAC含量的促进作用更大,使之增加325.3%,而在C/N为20时,混料HAC含量先增加而后逐渐下降,最终稳定在0 d时的含量水平。由图1D可见,在C/N为10或15时,随培养进行,混料HuC含量先增加而后下降,而在C/N为20时,混料HuC含量渐趋降低,培养结束后,C/N为10、15和20时,混料HuC含量的降低程度分别达12.4%、12.4%和20.5%。
|
图 1 C/N对混料腐解过程中水溶性有机碳(WSOC)以及可提取腐殖酸碳(HEC)、胡敏酸碳(HAC)和胡敏素碳(HuC)含量的影响 Figure 1 Effects of C/N ratios on contents of water soluble organic carbon (WSOC), humic-extracted acid C(HEC), humic acid C(HAC) and humin C(HuC) extracted from the mixed materials during the decomposition process 各图中相同C/N的不同柱子上方凡是具有一个相同小写字母者,表示不同腐解时间之间差异不显著(P>0.05,Duncan’s法) |
胡富比用于描述有机物料的腐解程度,是衡量腐殖质品质优劣的重要指标,是HAC与FAC含量之间的比值,该比值越大、HAC含量越高,堆腐品质越好[14]。由图2可见,混料C/N对腐解过程HAC/FAC的影响,历经60 d培养,无论混料C/N为10、15或者20,其HAC/FAC均可得到不同程度的提升,增加幅度分别为65.2%、351.0%和309.2%。可见,由银中杨–玉簪落叶及草坪碎屑所组成的混料,无论C/N是10、15或20,历经60 d培养均可使其腐殖质品质得到提升,相比而言,将混料C/N调至15或20时,其对于腐殖质品质的改善效果更加明显,而混料中含有较多氮素,即混料C/N为10时,将在一定程度上抑制FAC向HAC的转化过程。
|
图 2 C/N对混料腐解过程中胡富比(HAC/FAC)的影响 Figure 2 Effects of C/N ratios on HAC/FAC ratios of the mixed materials during the decomposition process 相同C/N的不同柱子上方凡是具有一个相同小写字母者,表示不同腐解时间之间差异不显著(P>0.05,Duncan’s法) |
HA碱溶液的ΔlgK值越大、E4/E6越高,芳香缩合度愈低,分子结构越简单。如图3A所示,基于混料不同C/N,在腐解过程中其对HA碱溶液E4/E6的影响规律不一:随着腐解过程的进行,C/N为10的条件下混料E4/E6先增加而后下降,C/N为15的条件下E4/E6先减小而后增加,而C/N为20的条件下则E4/E6渐趋增加。尽管影响规律不同,但最终HA碱溶液的E4/E6均有所增加,增幅依次为22.4%、14.0%和44.9%。为明确混料HA分子结构的变化,又对HA碱溶液的ΔlgK进行了分析,在C/N为15的条件下,混料HA的ΔlgK先减小、后增加,最终稳定在初始水平,而C/N为10或20的条件下,混料所提取HA的ΔlgK均呈逐渐增加趋势。
|
图 3 C/N对混料腐解过程中胡敏酸碱溶液E4/E6及ΔlgK的影响 Figure 3 Effects of C/N ratios on E4/E6 ratios and ΔlgK values of humic acid lye solution extracted from the mixed materials during the decomposition process |
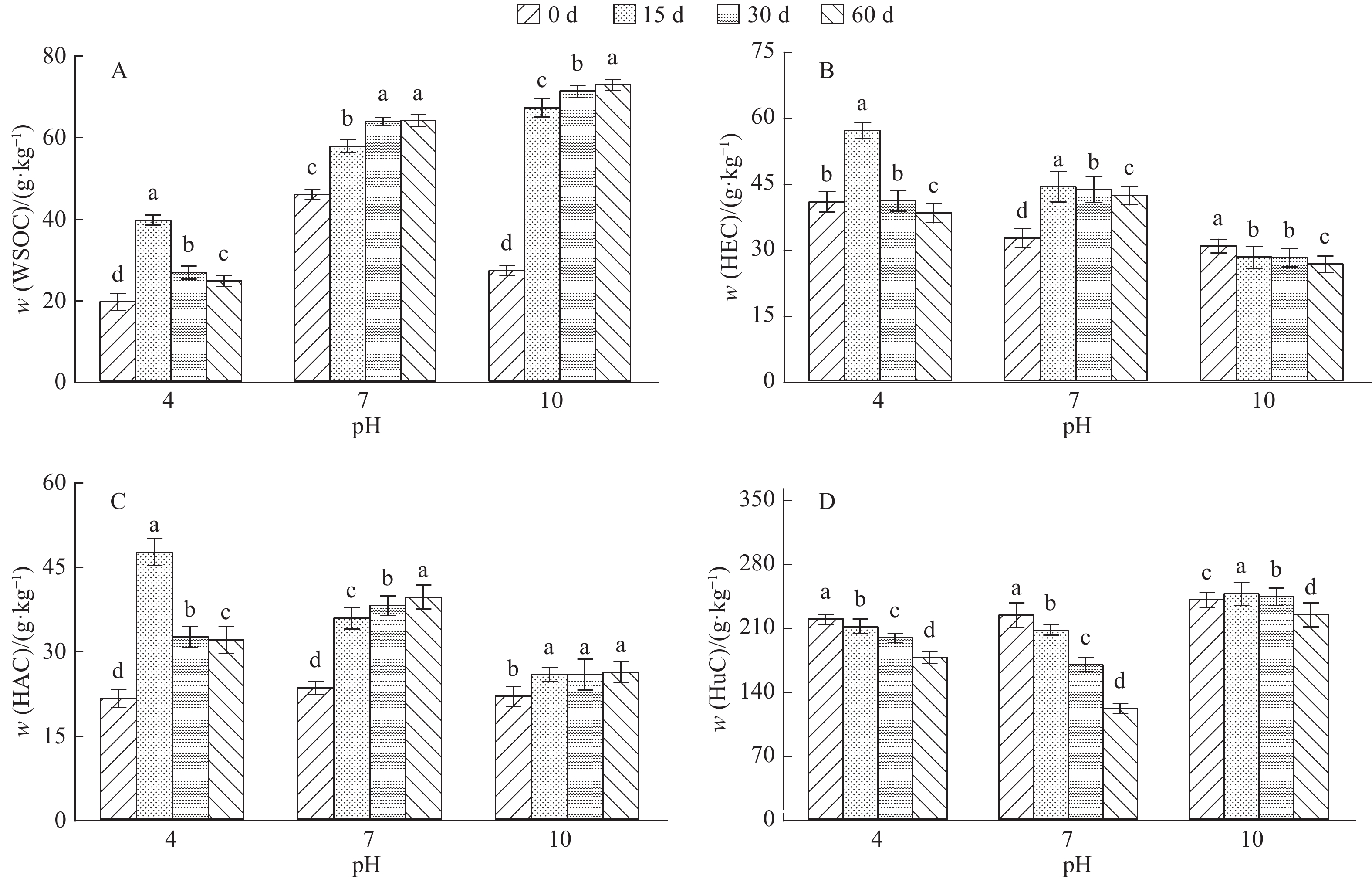
图4所示为pH对混料腐解过程WSOC及HEC、HAC和HuC含量变化的影响。由图4A可见,当pH为7或10时,混料WSOC含量随培养进行而渐趋增加,而在pH为4的条件下,混料WSOC含量先大幅提升,然后再逐渐降低并趋于稳定。在培养结束后,混料WSOC含量均可获得提升,pH为4、7或10处理分别获得27.0%、39.8%或168.9%的增幅。由图4B可见,当pH为4或7时,随培养进行,混料HEC含量先增加而后下降,而在pH为10的条件下,混料HEC含量却历经渐趋降低的走势。培养结束后,pH 4和10处理条件下混料的HEC含量均有不同程度的降低,分别消耗6.3%和13.5%,而pH为7的混料,在培养结束后,HEC含量却增加了30.0%。可见,混料pH处于中性条件,HEC含量在腐解完成后可获得提升。如图4C所示,当混料pH为7或10时,HAC含量随培养进行而渐趋增高,当pH为4时,混料HAC含量在培养过程中皆有不同程度提升,且在培养15 d后还可获得一个峰值,在培养结束后,pH 4、7和10处理下的HAC含量分别获得48.6%、69.0%和19.6%的增加幅度。推断,混料WSOC、HEC及HAC含量的变化均与Hu的降解有关。由图4D可见,在pH为4或7条件下,混料在腐解过程中,其HuC含量呈渐趋降低趋势,而在混料pH为10的条件下,HuC含量先略有增高后平稳下降,培养结束后,pH 4、7和10的混料HuC含量分别降低19.2%、45.9%和6.8%。可见,混料pH为7时更有助于其在培养过程中对惰性Hu组分的分解及转化。
|
图 4 pH对混料腐解过程中水溶性有机碳(WSOC)以及可提取腐殖酸碳(HEC)、胡敏酸碳(HAC)和胡敏素碳(HuC)含量的影响 Figure 4 Effects of pH values on contents of water-soluble organic carbon (WSOC), humic-extracted acid C(HEC), humic acid C(HAC) and humin C(HuC) extracted from the mixed materials during the decomposition process 各图中相同pH的不同柱子上方凡是具有一个相同小写字母者,表示不同腐解时间之间差异不显著(P>0.05,Duncan’s法) |
图5显示了混料pH对HAC与FAC间相互转化的影响,经过60 d培养,与0 d相比,混料HAC/FAC均可获得较大程度提升,其pH 4、7和10条件下的增加幅度分别为239.2%、166.9%和361.0%。结合图4B所示HEC含量的变化规律可知,混料pH为4或10皆可对HEC(FAC+HAC)含量表现出较高的消耗程度,而基于HAC/FAC的变化可推断,混料pH为4或10时对于FA组分的利用和转化程度更高,降低了HE组分的含量,同时使HAC/FAC历经较大程度提升。相反,在pH为7的条件下,混料HEC含量有增加趋势,即FAC和HAC的含量之和有所增加,而FA有向HA组分缩合的趋势,使HAC/FAC增加,在此过程中,腐殖酸活性减弱,品质有所提升。
|
图 5 pH对混料腐解过程中胡富比(HAC/FAC)的影响 Figure 5 Effects of pH values on changes of HAC/FAC ratios of the mixed materials during the decomposition process 相同pH的不同柱子上方凡是具有一个相同小写字母者,表示不同腐解时间之间差异不显著(P>0.05,Duncan’s法) |
由图6可见,在pH影响下,混料HA碱溶液E4/E6和ΔlgK均随培养进行而表现为相似的规律。当混料pH为4或7时,HA碱溶液的E4/E6和ΔlgK均随培养进行而渐趋降低,而在pH为10的条件下,E4/E6和ΔlgK先下降而后大幅度提升,培养结束后,E4/E6和ΔlgK均有所提升。由此可知,混料pH为4或7时,随培养进行,HA分子结构渐趋复杂,而当混料pH为10时,HA分子结构先趋于复杂,而后又简单化。
|
图 6 pH对混料腐解过程中胡敏酸碱溶液E4/E6及ΔlgK的影响 Figure 6 Effects of pH values on E4/E6 ratios and ΔlgK values of humic acid lye solution extracted from the mixed materials during the decomposition process |
较低C/N能促进微生物对有机物料的矿化分解,但较高C/N会对微生物活性产生一定抑制作用[15]。当混料C/N为10和15时,经培养后HEC及HAC含量均有所累积,增加幅度分别为76.5%和56.4%。相对于C/N为20的处理来说,C/N为10或15时,微生物更易获取氮素而对混料实施降解[16],在此过程中必然导致微生物数量增加、物料失重程度加剧,然而HA和HE组分中含有更多相对稳定的碳结构,因此使矿化程度受到抑制,即物料失重幅度大于HEC和HAC的矿化速度,最终引发减重效应[17],使HEC及HAC含量增加,其中HEC含量增幅较大是因为扩繁的微生物随培养进行而逐渐丧失活性[18],最终使菌体成分进入HE的另一组分FA所致。此外,随着混料中较易利用的有机碳成分不断消耗,腐殖质中的惰性组分Hu也开始向活性有机碳转化,致使HuC含量下降[19],在本试验中,混料C/N为10或15时,Hu的降解产物在培养15 d后可进入HA,致使HAC与HEC含量增加。在C/N为20时,混料碳氮周转更加优化,微生物活性增强,最终使Hu组分矿化程度加剧、含量逐渐下降,但混料中WSOC含量却出现先增加、后大幅降低的趋势。有研究显示,微生物大量繁殖使秸秆–粪便混料中纤维素、蛋白质等有机大分子物质在胞外酶作用下水解,转化为糖类、有机酸、氨基酸和酚类等物质,在此过程中,WSOC含量先得以提升,而后WSOC作为能量物质被微生物利用、转化,因此含量急剧降低[20]。微生物在腐解有机物料的过程中,对WSOC的分解与合成过程同步,WSOC最终含量的多少受到底物浓度和微生物活性两者间共同的影响[21],在本试验中,C/N为20的处理下的微生物活性最高,最终促使WSOC含量下降。
将C/N设为10或15时,培养结束后混料HEC及HAC均有所累积,而将混料C/N设为20则更有利于微生物对WSOC、HEC及HuC的矿化及周转;在本试验条件下,混料C/N为10、15和20时均有利于混料HAC/FAC的提高进而改善腐殖质品质。有研究显示,随着堆制时间延长,添加尿素或不添加尿素的堆肥过程,腐殖酸占有机质的百分率均有所增加,其中HAC含量呈增加趋势,而FAC含量却有所降低[22],即有机物料在腐解过程能够向腐殖化和稳定化方向进行[23-24]。混料HAC/FAC上升的原因是FAC中物质分子量较小、分子结构简单,在腐解过程中一部分被微生物降解,另一部分则通过转化形成分子量较大、结构相对复杂的HAC[25]。本研究中,将混料C/N调至15或20时,对于腐殖质品质的改善效果更加明显,这与郑卫聪等[26]所得结论相似。将混料C/N降至10,在一定程度上抑制了FA向HA的转化,较高水平氮素能够促进微生物在初期的降解过程[27],使腐殖质中较为稳定的碳素含量降低,这在一定程度上也阻碍了HA的形成[28],使得HAC/FAC增加趋势减缓,可见,过量氮素不利于物料腐解过程中腐殖质品质的提升。混料C/N为10时,HA分子结构先简单化而后趋于复杂,这是因为较多氮素使微生物在初期阶段活性增加进而促进HA的矿化,而后,腐殖化作用增强、加之微生物死亡使得部分菌体进入HA而使其分子结构趋于复杂[19, 29]。而在C/N为20处理条件下,混料HA分子更趋于简单化,这是因为微生物对混料WSOC和FA的缩合使得HAC含量增加,然而新形成的HA分子尚未缩合到较为复杂的水平,因此,使HA的整体复杂程度有所降低。将HA进行酸化处理可使其糖、酰胺和有机酸小分子化合物酸解出去,证实了有机小分子可与HA发生聚合作用并进入其分子结构,最终使HA分子的芳香度降低、烷基碳和烷氧碳增加,复杂程度减弱[30]。而对于C/N为15的处理,HA的分子结构先复杂而后渐变简单,在培养初期,活性较强的微生物首先展开对Hu组分的降解,致使降解产物进入HA而使其分子结构复杂,而后微生物降解能力减弱,由矿化Hu转向对HA的分解,对比始末阶段HA的分子结构发现,混料C/N为15更有利于混料HA分子结构的稳定。
3.2 pH对银中杨–玉簪落叶及草坪碎屑混料腐殖质组成的影响pH是影响堆肥腐熟的又一重要指标[4]。在本试验中,无论混料pH为4、7或10,与0 d相比,60 d腐解均可使WSOC含量增加。在碱性条件下,溶解性有机物中类腐殖质组分占有较大比例,酸性条件下,溶解性有机物中类蛋白质及未知组分仍占有较大比例[31]。反之,pH对腐解过程HE、HA和Hu组分的影响则表现出相反规律,pH为7时,混料HA和Hu组分更趋于累积状态,在此过程中,HuC含量大幅下降,这是由于近中性的腐解条件更易于提升微生物活性[32],使微生物对Hu组分的降解能力增强,使降解产物进入HA组分,同时增加了HEC含量;当混料pH为10时,腐解过程HEC有更大的损失程度,但HA组分在此过程有所累积,可间接推断,FAC亦可被微生物大量消耗,有研究指出,FAC与物料pH呈负相关[33-34],最终使HAC/FAC 获得较大程度提升,改善了腐殖质品质。
当pH为4或7时,混料HA分子结构渐变复杂,结合HuC的变化情况可知,微生物对Hu降解作用更强,使得降解产物进入HA而使其分子结构复杂化。土壤酸化可显著影响微生物数量,降低微生物的呼吸强度[35],据此,混料在酸性条件下,微生物活性减弱,死亡菌体易进入HA而使其分子结构复杂化。而当混料处于中性条件时,微生物活性增加,能够降解HuC而使其降解产物进入HAC,最终使分子结构有所复杂[18]。而当pH为10时,HA分子结构先复杂而后趋于简单,这是因为在培养初期碱解条件不利于微生物的降解过程,部分菌体易进入HA扰乱其分子结构,而在腐解后期,降解产物中的有机酸可进一步起中和作用,使腐解条件更趋于中性并促进了微生物对HA的矿化分解,最终使其简单化。综合考虑,当C/N为15、pH为7时对银中杨–玉簪落叶及草坪碎屑混料腐解的促进作用最为显著。
| [1] |
徐玉坤, 孙向阳, 栾亚宁, 等. 园林废弃物堆肥红外光谱特性分析[J]. 土壤通报, 2014, 45(5): 1071-1076. ( 0) |
| [2] |
AMIR S, ABOUELWAFA R, MEDDICH A, et al. PLFAs of the microbial communities in composting mixtures of agro-industry sludge with different proportions of household waste[J]. Int Biodeter Biodegr, 2010, 64(7): 614-621. DOI:10.1016/j.ibiod.2010.01.012 ( 0) |
| [3] |
LI R, WANG J J, ZHANG Z Q, et al. Nutrient transformations during composting of pig manure with bentonite[J]. Bioresour Technol, 2012, 121: 362-368. DOI:10.1016/j.biortech.2012.06.065 ( 0) |
| [4] |
张强, 孙向阳, 任忠秀, 等. 调节C/N及添加菌剂与木酢液对园林绿化废弃物堆肥效果的影响[J]. 植物营养与肥料学报, 2012, 18(4): 990-998. DOI:10.11674/zwyf.2012.11378 ( 0) |
| [5] |
WU S H, SHEN Z Q, YANG C P, et al. Effects of C/N ratio and bulking agent on speciation of Zn and Cu and enzymatic activity during pig manure composting[J]. Int Biodeter Biodegr, 2017, 119: 429-436. DOI:10.1016/j.ibiod.2016.09.016 ( 0) |
| [6] |
GAO M , LIANG F , YU A, et al. Evaluation of stability and maturity during forced-aeration composting of chicken manure and sawdust at different C/N ratios[J]. Chemosphere, 2010, 78(5): 614-619. DOI:10.1016/j.chemosphere.2009.10.056 ( 0) |
| [7] |
KAZEMI K, ZHANG B, LYE L M , et al. Design of experiment (DOE) based screening of factors affecting municipal solid waste (MSW) composting[J]. Waste Manage, 2016, 58: 107-117. DOI:10.1016/j.wasman.2016.08.029 ( 0) |
| [8] |
YUAN X, REN F, ZENG G, et al. Adsorption of surfactants on a Pseudomonas aeruginosa strain and the effect on cell surface lypohydrophilic property
[J]. Appl Microbiol Biotechnol, 2007, 76(5): 1189-1198. DOI:10.1007/s00253-007-1080-z ( 0) |
| [9] |
KULCU R, SÖNMEZ I, YALDIZ O, et al. Composting of spent mushroom compost, carnation wastes, chicken and cattle manures[J]. Bioresour Technol, 2008, 99(17): 8259-8264. DOI:10.1016/j.biortech.2008.03.074 ( 0) |
| [10] |
ZHU N W. Effect of low initial C/N ratio on aerobic composting of swine manure with rice straw[J]. Bioresour Technol, 2007, 98(1): 9-13. DOI:10.1016/j.biortech.2005.12.003 ( 0) |
| [11] |
吴阳, 徐乐中, 梅娟. C/N调控对园林绿化废弃物堆肥效果的影响[J]. 安全与环境工程, 2016, 23(1): 64-69. ( 0) |
| [12] |
ZHANG L, SUN X. Improving green waste composting by addition of sugarcane bagasse and exhausted grape marc[J]. Bioresour Technol, 2016, 218: 335-343. DOI:10.1016/j.biortech.2016.06.097 ( 0) |
| [13] |
王帅, 李昕洋, 于楠楠, 等. 不同玉米栽培模式对中温带典型暗棕壤腐殖质组成的短期影响[J]. 东北林业大学学报, 2016, 44(4): 54-59. ( 0) |
| [14] |
褚慧, 宗良纲, 汪张懿, 等. 不同种植模式下菜地土壤腐殖质组分特性的动态变化[J]. 土壤学报, 2013, 50(5): 931-939. ( 0) |
| [15] |
葛顺峰, 周乐, 李红娜, 等. 土壤C/N对苹果植株生长及氮素利用的影响[J]. 中国生态农业学报, 2013, 21(7): 795-800. ( 0) |
| [16] |
张雪辰, 邓双, 杨密密, 等. 畜禽粪便堆腐过程中有机碳组分与腐熟指标的变化[J]. 环境科学学报, 2014, 34(10): 2559-2565. ( 0) |
| [17] |
孙晓杰, 王洪涛, 陆文静, 等. 粪渣与树叶静态好氧共堆肥的最佳配比[J]. 清华大学学报(自然科学版), 2009, 49(12): 1988-1991. DOI:10.3321/j.issn:1000-0054.2009.12.019 ( 0) |
| [18] |
刘卫, 袁兴中, 欧阳建新, 等. 利用污泥熟肥作为高含水率污泥堆肥调理剂[J]. 环境工程学报, 2013, 7(6): 2349-2354. ( 0) |
| [19] |
王帅, 王楠, 窦森, 等. 真菌及混合菌对锯木屑类腐殖质形成和转化的影响[J]. 水土保持学报, 2012, 26(1): 227-231. ( 0) |
| [20] |
姬红利, 颜蓉, 吴永红, 等. 秸秆粪便生物水解好氧堆肥处理研究及应用[J]. 安徽农业科学, 2010, 38(13): 6885-6888. DOI:10.3969/j.issn.0517-6611.2010.13.104 ( 0) |
| [21] |
陈鲜妮, 来航线, 田霄鸿, 等. 接种微生物条件下牛粪+麦秸堆腐过程有机组分的动态变化[J]. 农业环境科学学报, 2009, 28(11): 2417-2421. DOI:10.3321/j.issn:1672-2043.2009.11.037 ( 0) |
| [22] |
张亚宁, 李国学. 化肥作为补充N源对堆肥碳素转化和污染物去除的影响[J]. 农业环境科学学报, 2005, 24(1): 154-157. ( 0) |
| [23] |
WEBER J, KARCZEWSKA A, DROZD J, et al. Agricultural and ecological aspects of a sandy soil as affected by the application of municipal solid waste composts[J]. Soil Biol Biochem, 2007, 39(6): 1294-1302. DOI:10.1016/j.soilbio.2006.12.005 ( 0) |
| [24] |
ZHOU Y, SELVAM A, WONG J W, et al. Evaluation of humic substances during co-composting of food waste, sawdust and Chinese medicinal herbal residues[J]. Bioresour Technol, 2014, 168: 229-234. DOI:10.1016/j.biortech.2014.05.070 ( 0) |
| [25] |
赵建荣, 高德才, 汪建飞, 等. 不同C/N下鸡粪麦秸高温堆肥腐熟过程研究[J]. 农业环境科学学报, 2011, 30(5): 1014-1020. ( 0) |
| [26] |
郑卫聪, 王俊, 王晓明, 等. 不同堆置措施对园林有机废弃物堆肥有机物降解的影响[J]. 华南农业大学学报, 2012, 33(1): 28-32. ( 0) |
| [27] |
张红, 吕家珑, 曹莹菲, 等. 不同植物秸秆腐解特性与土壤微生物功能多样性研究[J]. 土壤学报, 2014, 51(4): 743-752. ( 0) |
| [28] |
付利波, 计思贵, 苏帆, 等. EM 菌对不适用鲜烟叶堆腐过程中腐殖质组分的影响[J]. 云南农业大学学报(自然科学版), 2015, 30(4): 607-611. ( 0) |
| [29] |
张蓓. 碳氮比及腐熟菌剂对玉米秸秆发酵的影响[D]. 兰州: 甘肃农业大学, 2012.
( 0) |
| [30] |
吴景贵, 王明辉, 姜亦梅, 等. 玉米秸秆还田后土壤胡敏酸变化的谱学研究[J]. 中国农业科学, 2005, 38(7): 1394-1400. ( 0) |
| [31] |
邓荀, 郭卫东, 卓健富. pH值对雨水中溶解有机物荧光光谱特征的影响[J]. 光谱学与光谱分析, 2012, 32(1): 137-141. ( 0) |
| [32] |
NAKASAKI K, YAGUCHI H, SASAKI Y, et al. Effects of pH control on composting of garbage[J]. Waste Manage Res, 1993, 11(2): 117-125. DOI:10.1177/0734242X9301100204 ( 0) |
| [33] |
姜海. 吉林玉米带土壤腐殖质组成及其与土壤酸度的关系[D]. 长春: 吉林农业大学, 2013.
( 0) |
| [34] |
刘小宁, 马剑英, 孙伟, 等. 高山植物稳定碳同位素沿海拔梯度响应机制的研究进展[J]. 山地学报, 2010, 28(1): 37-46. ( 0) |
| [35] |
王海斌, 叶江华, 陈晓婷, 等. 连作茶树根际土壤酸度对土壤微生物的影响[J]. 应用与环境生物学报, 2016, 22(3): 480-485. ( 0) |
2018, Vol. 39



0)