社会飞速发展的同时,也带来了废弃物排放量的相应增加。研究表明,中国近年来的畜禽粪便废弃物排放量高达26.1亿t[1]。有机废弃物的合理利用可以有效改善环境污染以及保障能源需求[2]。菌菇的废弃袋料以及禽畜粪便中含有大量的有机物质,堆肥是处理固体有机废弃物的一种可持续方法[3]。在堆肥过程中,微生物可以通过群落和密度的演替,将有机物降解转化为稳定的腐殖质[4-5]。因此,对农业废弃物的综合利用成为当前研究热点。
有机质在土壤肥力、环境保护和农业可持续发展中发挥着重要作用。堆肥过程是有机物稳定化和腐殖化的过程,通过微生物和酶的共同作用产生一系列包含不同分子量和含氧官能团的大分子物质[6]。通过堆制能够降低有机物质的碳氮比,进而使有机物质中的养分得到释放。堆肥过程可减少堆肥材料中的病菌、虫卵及杂草种子的传播,因此,堆肥的腐熟过程,既是形成腐殖质的合成过程,又是一个无害化处理的过程。腐殖质是土壤有机质的主要组成部分,其数量、组成和性质是土壤肥力的重要指标,影响着土壤的各种性质和形态。胡敏酸和富里酸是土壤腐殖质的重要组成部分,其组成、结构和性质可直接影响土壤肥力和作物产量。有机物质的加入也能相应增加土壤中腐殖质的含量,改变土壤的化学结构[7-8]。腐殖质形成过程受到堆肥材料组成的影响。另外,土壤微生物的活动受到各种物理化学参数的显著影响,例如腐殖质的溶解性,组分的有机碳含量和胡富比等。据报道,这些物理化学参数可以调节群落组成,以提高堆肥质量,进一步促进腐殖质的形成。
鉴于此,本研究采取室内培养法,以滑子菇渣为基础材料,通过添加不同比例猪粪、硫酸铵及高效腐熟菌剂,结合腐殖质组成的变化特征,筛选滑子菇渣与猪粪堆制有机肥料的最佳配比,为滑子菇渣肥料化提供科学的堆制配方。
1 材料与方法 1.1 供试材料滑子菇渣来自吉林农业科技学院食用菌研究所,猪粪由吉林省丰禾育苗营养土有限公司提供。微生物腐熟剂购于金禾佳农(北京)生物技术有限公司,有效活菌数≥5.0亿/g,称取30 g腐熟剂于1 000 mL锥形瓶中,加入300 mL蒸馏水,在28 ℃气浴振荡器中摇瓶培养24 h,4 000 r/min离心,收集上清液,即为试验所用的腐熟剂。
1.2 试验设计堆肥物料的理化性质见表1。采取室内培养法,将滑子菇渣与猪粪晾晒风干,粉碎过0.25 mm筛,并按照如下质量配比均匀混合,共设置7个处理,每个处理重复3次,Ⅰ:仅滑子菇渣;Ⅱ~Ⅵ:滑子菇渣︰猪粪质量比依次为:9︰1、7︰3、5︰5、3︰7和1︰9;Ⅶ:仅猪粪。物料总质量均为1.5 kg,用(NH4)2SO4溶液调节物料适宜的含水量(w)为60%和C/N质量比为25︰1,而后将物料转入9 L桶状容器中,均匀接种100 mL试验所用的腐熟剂,启动好氧堆肥,并在0、15、30、60和90 d取样,每次取样0.3 kg,在鼓风干燥箱中45 ℃风干至恒质量,备用。
|
|
表 1 堆肥物料的理化性质 Table 1 Physical and chemical properties of compost feedstocks |
采用腐殖质组成修改法[1]对采集的堆肥物料进行分析,具体步骤如下:称取过0.01 mm筛的堆肥物料1.00 g于100 mL聚乙烯离心管中,加入30 mL蒸馏水搅拌均匀,在70 ℃恒温水浴振荡器上提取1 h,3 500 r·min−1离心15 min,将上清液过滤于50 mL容量瓶中,在带有残渣的离心管中继续加水20 mL搅拌均匀,直接离心,并将此次上清液与前次合并,用蒸馏水定容到50 mL,此溶液即为水溶性物质(Water soluble substance,WSS)。按照提取WSS的方法,将蒸馏水换为0.1 mol·L−1的NaOH和0.1 mol·L−1的Na2P2O7的混合液,对残渣进行二次提取,此次收集的溶液即为可提取腐殖酸(Humic-extracted acid,HE)。离心管中残渣用蒸馏水多次洗涤,直至洗液近中性,将其转入55 ℃鼓风干燥箱烘至恒质量,该沉淀物即为胡敏素(Humin,Hu)。
吸取HE溶液30 mL,用0.5 mol·L−1的H2SO4溶液将其pH调至1.0~1.5,置于70 ℃水浴锅中保温1.5 h,静置过夜,次日将溶液过滤于50 mL容量瓶、定容,此溶液即为富里酸(Fulvic acid,FA)。滤纸上残渣先用稀酸洗涤,再用温热的0.05 mol·L−1的NaOH溶液溶解于50 mL 容量瓶中,用蒸馏水定容即为胡敏酸(Humic acid,HA),腐殖质组分的有机碳(CWSS、CFA、CHA和CHu)含量均采用外加热−重铬酸钾氧化法测定,采用北京普析通用仪器有限责任公司生产的TU-1901型紫外可见分光光度计对HA碱溶液的光密度(D400 nm和D600 nm)进行测定,并计算色调系数(ΔlgK),ΔlgK=lgD400 nm−lgD600 nm。
1.4 数据处理采用Excel 2003和SPSS 18.0(PASW Statistics 18)软件对数据进行整理,并进行差异显著性分析。
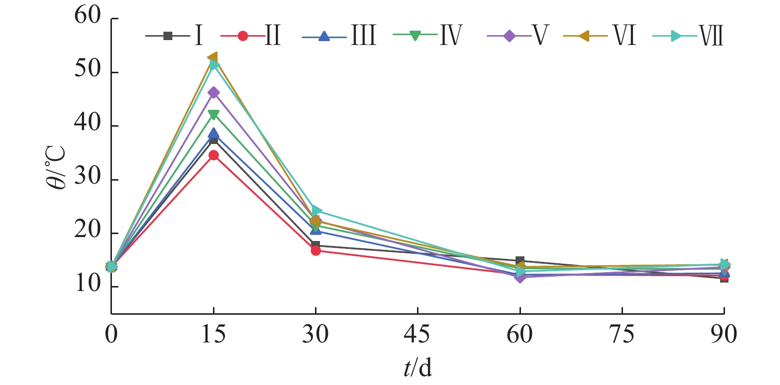
2 结果与分析 2.1 滑子菇渣与猪粪不同配比堆肥的温度变化堆肥过程中,各处理堆体的温度变化见图1。总的来说,各处理堆肥期间的温度变化趋势符合高温堆肥的温度变化趋势。由图1可知,随堆肥的进行,各处理的堆体温度的变化趋势基本一致。添加有机肥能促使堆体温度升高,也提高了堆体所能达到的最高温度,堆肥15 d时达到最大值(Ⅲ:39 ℃;Ⅳ:42 ℃;Ⅴ:46 ℃;Ⅵ:53 ℃)。
|
图 1 滑子菇渣与猪粪不同配比堆肥的温度变化 Fig. 1 The temperature changes of composting under different proportions of Pholiota nameko residue and pig manure |
如图2所示,处理Ⅲ、Ⅳ、Ⅴ和Ⅵ的水溶性有机碳(CWSS)的含量呈先下降后上升趋势,在堆肥前60 d,这4组处理的CWSS含量均下降较为明显,说明在堆肥过程中,微生物首先利用易分解的有机碳进行新陈代谢和矿化,有机碳分解较快,在90 d时,这4组处理的CWSS含量显著上升。最终,处理Ⅲ、Ⅳ和Ⅴ的CWSS含量比初始时分别减少了24.8%、37.5%和11.0%,而处理Ⅵ的CWSS含量则增加了24.7%。处理Ⅰ和Ⅱ的CWSS含量随着堆肥时间先增加再下降。到堆肥结束时其含量比初始时显著增加16.2%和12.8%。处理Ⅶ的CWSS含量基本呈波动性增加趋势,到堆肥结束时其含量增加近1倍。
|
图 2 滑子菇渣与猪粪不同配比对堆肥水溶性有机碳(CWSS)含量的影响 Fig. 2 Effects of different proportions of Pholiota nameko residue and pig manure on CWSS contents of composting 图中柱子上方的不同大写字母表示相同堆肥时间的不同处理间差异显著,不同小写字母表示相同处理不同堆肥时间差异显著(P<0.05,Duncan’ s法) Different capital letters above the columns indicated significant differences among different treatments at the same incubation time, and different lowercase letters indicated significant differences among different composting time for the same treatment (P<0.05,Duncan’ s test) |
随着猪粪配比量的增加,同一堆肥时期内的CWSS含量显著增加。在0、15、30、60和90 d堆肥过程中,处理Ⅶ分别是处理Ⅰ的6.8、7.0、5.7、4.9和9.7倍。
2.3 不同配比堆肥对CHA含量及HE碱溶液ΔlgK的影响CHA含量及HE碱溶液ΔlgK反映了腐殖质分子中芳香环的缩合度、芳构化度和分子量的大小。滑子菇渣与猪粪不同配比处理的CHA含量如图3所示。处理Ⅲ、Ⅳ、Ⅴ、Ⅵ和Ⅶ均随着堆肥进程,CHA含量逐渐降低,到堆肥60 d时降到最低。CHA含量快速降低主要是因为堆肥前期矿质化作用强于腐殖化作用,微生物在适宜环境下能够快速降解堆料中的有机物质,腐殖酸中部分易降解的物质被微生物分解,腐殖酸生成的速度慢于分解速度。而后随着腐熟期开始,CHA含量显著增加,这是由于前期形成的腐殖酸不稳定,易被微生物矿化分解,后期慢慢才形成结构与性质比较稳定的腐殖质组分。堆肥结束时滑子菇渣与猪粪不同配比处理的CHA含量均显著低于初始值。处理Ⅰ和Ⅱ的CHA含量变化趋势相似,前期逐渐下降,30 d后开始缓慢上升,且处理Ⅰ最终的CHA含量低于初始值,而处理Ⅱ最终的CHA含量高于初始值。
|
图 3 滑子菇渣与猪粪不同配比对堆肥胡敏酸碳(CHA)含量的影响 Fig. 3 Effects of different proportions of Pholiota nameko residue and pig manure on CHA contents of composting 图中柱子上方的不同大写字母表示相同堆肥时间的不同处理间差异显著,不同小写字母表示相同处理不同堆肥时间差异显著(P<0.05,Duncan’ s法) Different capital letters above the columns indicated significant differences among different treatments at the same incubation time, and different lowercase letters indicated significant differences among different composting time for the same treatment (P<0.05,Duncan’ s test) |
HE碱溶液ΔlgK与腐殖质的缩合度成反比。各堆肥处理中,HE碱溶液ΔlgK的变化如图4所示。从总体趋势上看,HE碱溶液ΔlgK变化波动不大。堆肥结束时,处理Ⅰ、Ⅱ和Ⅲ的HE碱溶液ΔlgK均低于起始值且差异显著,处理Ⅳ、Ⅴ和Ⅶ的HE碱溶液ΔlgK基本与起始含量保持不变,但在处理Ⅵ中达到显著增加。处理Ⅰ和Ⅲ的HE碱溶液ΔlgK随着堆肥进程逐渐降低,处理Ⅳ、Ⅴ、Ⅵ和Ⅶ的HE碱溶液ΔlgK在堆肥过程中趋势相似,随着堆肥进程先上升,到30 d时达到最大值,然后逐渐下降。有机肥的增加,使微生物活性增强,将猪粪中的糖类、蛋白质类易分解的有机物质分解,但是在堆肥过程进行一段时间后,腐殖化过程中大分子有机物的合成作用大于其降解作用,不饱和物质的缩合度及芳构化程度增加。因此HE碱溶液ΔlgK会呈现先增加后降低的规律。
|
图 4 滑子菇渣与猪粪不同配比对堆肥腐殖酸(HE)碱溶液ΔlgK的影响
Fig. 4 Effects of different proportions of Pholiota nameko residue and pig manure on ΔlgK |
随着堆肥过程的进行,物料中有机物质不断分解,腐殖质组分中不稳定的成分逐渐向稳定成分转化,导致胡富比(CHA/CFA)也随之发生变化。胡富比是反映堆肥过程中胡敏酸与富里酸相互转化的指标。图5为滑子菇渣与猪粪不同配比对堆料胡富比的影响。图5中数据显示,滑子菇渣与猪粪不同配比各处理下(处理Ⅴ除外)的胡富比均在15 d时显著下降,随着堆肥过程的继续,胡富比有所上升。表明在有机物料的堆肥过程中,富里酸组分不断被分解利用,再进一步合成了结构复杂的胡敏酸。到堆肥结束时,处理Ⅰ、Ⅱ、Ⅲ、Ⅳ和Ⅴ的胡富比均显著高于起始值,分别是起始值的7.14、3.23、1.22、4.38和2.52倍,但是处理Ⅵ和Ⅶ的胡富比与堆肥初期相比分别下降了21.8%和51.4%。相同堆肥时期内,随着猪粪有机肥料添加量的增加,堆料胡富比基本是逐渐降低的趋势。表明猪粪过量的添加,造成微生物分解负担,缓滞了富里酸向胡敏酸转化的过程。但是在只有猪粪处理时,培养初期,胡富比值高达3.83,显著高于其他处理。
|
图 5 滑子菇渣与猪粪不同配比对堆肥胡富比(CHA/CFA)的影响 Fig. 5 Effects of different proportions of Pholiota nameko residue and pig manure on the ratios of humic acid to fulvic (CHA/CFA) of composting 图中柱子上方的不同大写字母表示相同堆肥时间的不同处理间差异显著,不同小写字母表示相同处理不同堆肥时间差异显著(P<0.05,Duncan’ s法) Different capital letters above the columns indicated significant differences among different treatments at the same incubation time, and different lowercase letters indicated significant differences among different composting time for the same treatment (P<0.05,Duncan’ s test) |
如图6所示,随着堆肥的进行,胡敏素有机碳(CHu)含量逐渐下降。处理Ⅶ的CHu含量在堆肥过程中保持相对平稳状态,下降趋势的幅度不太明显,堆肥结束时仅比初始含量下降了37%。CHu含量随着滑子菇渣与猪粪不同配比变化起伏较大,与其他处理相比,处理Ⅲ和Ⅳ的CHu初始含量较高,分别是单施猪粪肥料处理的1.97和1.94倍。处理Ⅵ和Ⅶ在堆肥反应结束时,CHu含量最高,其质量分数分别为113.1和103.1 g·kg−1,而处理Ⅰ和Ⅱ的CHu含量最低,其质量分数分别为23.5和14.4 g·kg−1。随着猪粪添加量的增加,腐殖化作用增强,微生物将部分含碳化合物腐殖化为稳定的胡敏酸类物质。因此堆肥结束后,胡敏素有机碳含量随着猪粪添加量的增加显著增加。
|
图 6 滑子菇渣与猪粪不同配比对堆肥胡敏素碳(CHu)含量的影响 Fig. 6 Effects of different proportions of Pholiota nameko residue and pig manure on CHu content of composting 图中柱子上方的不同大写字母表示相同堆肥时间的不同处理间差异显著,不同小写字母表示相同处理不同堆肥时间差异显著(P<0.05,Duncan’ s法) Different capital letters above the columns indicated significant differences among different treatments at the same incubation time, and different lowercase letters indicated significant differences among different composting time for the same treatment (P<0.05,Duncan’ s test) |
腐殖质的水平在很大程度上受到有机物料的影响。通过微生物的腐殖化作用,将堆肥原料转变为稳定化、无害化的可利用物质[9],堆肥产生的腐殖质的特性也会受到堆肥材料配比的影响[10]。本研究以滑子菇渣作为基础原料,通过添加不同比例的猪粪有机物质,证实了合适配比下的有机物料可以显著提升腐殖质的特性。
猪粪经过堆肥后,低分子量的富里酸含量下降,而高分子量的胡敏酸含量上升[11]。本研究中,胡敏酸作为腐殖质最重要的组成,随着猪粪有机物料添加量的增加而增加。可能是因为猪粪中大量硝酸盐会影响芳香结构的形成[12]。但是继续增加猪粪,甚至有机物料的配比中只有猪粪,会降低胡敏酸的有机碳含量。这是因为过量的猪粪带来的有机物质在堆肥初期并不能够完全溶解和被微生物利用[13]。猪粪中较高浓度的硝酸盐有利于氮相关微生物或硝酸盐还原剂的生长,这些微生物或还原剂具有参与芳香化合物和HA降解的途径[14-15]。HE碱溶液ΔlgK可以反映腐殖质分子中芳香环的缩合度、芳构化度和分子量的大小。HE碱溶液ΔlgK与腐殖质的缩合度和芳构化程度成反比[16]。堆肥初期的有机物料含量丰富,但随着堆肥过程的进行,堆体温度也在变化,先是升温期,逐渐过渡到高温期,最后到腐熟期[17]。有机物料不断被微生物分解利用,前期为一些结构比较简单的有机物,之后逐渐转化为结构复杂或者芳香化程度高的难以分解的有机结构[18-19]。鲍艳宇等[20]在鸡粪堆腐的试验中发现,HE碱溶液ΔlgK的色调系数均有所下降,认为其羧基、羟基和酚羟基的含量升高,而甲氧基和醇羟基含量下降。滑子菇渣与猪粪质量比为1︰9或者猪粪更多的处理中,HE碱溶液ΔlgK比初始值有所增加,这说明高猪粪配比条件下,不利于结构复杂的腐殖质产生。本研究中,胡富比随着堆肥过程的进行显著增加。胡富比升高一方面可能是因为富里酸结构简单,与胡敏酸相比,更容易被有机物料中的微生物分解[21],另一个原因是富里酸可以通过聚合形成胡敏酸,最终增加了胡敏酸的含量[22]。由本试验可以看出,堆肥90 d结束时,单一滑子菇渣处理的胡富比最高。这可能是因为滑子菇渣中微生物种类、数量更丰富,富含了能够促进腐殖质形成的大量微生物的缘故。
猪粪和滑子菇渣中富含大量的有机碳以及营养成分,唐璐[23]的研究表明,含碳有机物与腐殖质之间存在一定的转化关系。富里酸在堆肥过程中会向稳定的胡敏酸转化,转化过程受到堆肥物料配比以及含碳有机成分的影响[24-25]。滑子菇渣与猪粪配比影响着堆肥的通气条件。王悦等[26]研究表明,在堆肥反应初期,厌氧发酵的产气速率随着猪粪配比量的增加而逐渐增加。但是随着堆肥反应的进行,基质越来越少,产气量也相应减少[27]。另一种说法是,到了堆肥的腐熟期,难降解的有机物成为主要碳源,微生物活动开始减弱,由此引发的产气量会变少[28-29]。李国学等[8]发现,猪粪经堆肥腐熟后腐殖酸总量下降约15%,而Canarutto等[30]利用污泥材料进行对比,发现堆肥腐熟后腐殖酸的含量上升。这说明堆肥的条件控制以及物料的选择对腐殖质的形成也有很重要的影响[30]。有机废料的利用已被应用于堆肥的制作,提升腐殖质特性。然而,不同配料的比例影响着堆肥过程中腐殖质的形成,微生物得到了有效的刺激,特别是与碳氮循环有关的微生物能够促进腐殖质中胡敏酸的降解,说明有机废料的利用也是一把双刃剑。
综上所述,滑子菇渣与猪粪的不同配比对腐殖化进程和腐殖质的特性有着显著影响。其中微生物的作用不可忽视。但是目前的研究对堆肥不同阶段微生物的作用还不是很清楚,需要更进一步的深入研究,可以通过优化堆肥参数,筛选出不同堆肥阶段最适宜微生物活动的优势条件。
本文以滑子菇渣为基础,添加不同比例猪粪肥料堆肥的试验结果表明:在整个堆肥过程中腐殖质的含量表现出动态变化。当堆肥物料中滑子菇渣和猪粪的质量比为5︰5时,在堆肥结束后,腐殖酸的含量较高,比仅有滑子菇渣的处理增加了36%;另外,CWSS的含量随着猪粪添加量的增加而增加,表明猪粪的添加具有良好的保碳效果。当堆肥物料中滑子菇渣和猪粪质量比为5︰5时,在堆肥结束后,各评价指标均处在最佳水平。可见在堆制有机肥料时,选择不同材料的最佳配比可以促进堆肥中腐殖质的形成。
| [1] |
李恕艳, 李吉进, 张邦喜, 等. 菌剂对鸡粪堆肥腐殖质含量品质的影响[J]. 农业工程学报, 2016, 32(S2): 268-274. ( 0) |
| [2] |
WANG X Q, CUI H Y, SHI J H, et al. Relationship between bacterial diversity and environmental parameters during composting of different raw materials[J]. Bioresour Technol, 2015, 198: 395-402. DOI:10.1016/j.biortech.2015.09.041 ( 0) |
| [3] |
曹晓晓, 和苗苗. 好氧堆肥过程中碳素损失及其控制技术研究进展[J]. 杭州师范大学学报(自然科学版), 2014, 13(4): 396-401. DOI:10.3969/j.issn.1674-232X.2014.04.013 ( 0) |
| [4] |
索超. 猪粪堆肥过程中腐殖质的生成及其对Cu的吸附作用研究[D]. 咸阳: 西北农林科技大学, 2009.
( 0) |
| [5] |
XI B D, ZHAO X Y, HE X S, et al. Successions and diversity of humic-reducing microorganisms and their association with physical-chemical parameters during composting[J]. Bioresour Technol, 2016, 219: 204-211. DOI:10.1016/j.biortech.2016.07.120 ( 0) |
| [6] |
ZHAO X Y, HE X S, XI B D, et al. The evolution of water extractable organic matter and its association with microbial community dynamics during municipal solid waste composting[J]. Waste Manage, 2016, 56: 79-87. DOI:10.1016/j.wasman.2016.07.018 ( 0) |
| [7] |
姜继韶, 黄懿梅, 黄华, 等. 猪粪秸秆高温堆肥过程中碳氮转化特征与堆肥周期探讨[J]. 环境科学学报, 2011, 31(11): 2511-2517. ( 0) |
| [8] |
李国学, 李玉春, 李彦富. 固体废物堆肥化及堆肥添加剂研究进展[J]. 农业环境科学学报, 2003(2): 252-256. DOI:10.3321/j.issn:1672-2043.2003.02.034 ( 0) |
| [9] |
王玉军, 窦森, 张晋京, 等. 农业废弃物堆肥过程中腐殖质组成变化[J]. 东北林业大学学报, 2009, 37(8): 79-81. DOI:10.3969/j.issn.1000-5382.2009.08.029 ( 0) |
| [10] |
屠巧萍. 生物质炭添加对猪粪堆肥腐殖化的影响及机理研究[D]. 杭州: 浙江大学, 2014.
( 0) |
| [11] |
孙向平. 不同控制条件下堆肥过程中腐殖质的转化机制研究[D]. 北京: 中国农业大学, 2013.
( 0) |
| [12] |
ZHANG J M, WANG J K, AN T T, et al. Effects of long-term fertilization on soil humic acid composition and structure in Black Soil[J]. PLoS One, 2017, 12(11): e0186918. DOI:10.1371/journal.pone.0186918 ( 0) |
| [13] |
SÁNCHEZ-MONEDERO M, ROIG A, CEGARRA J, et al. Relationships between water-soluble carbohydrate and phenol fractions and the humification indices of different organic wastes during composting[J]. Bioresour Technol, 1999, 70(2): 193-201. DOI:10.1016/S0960-8524(99)00018-8 ( 0) |
| [14] |
SHI M, WEI Z, WANG L, et al. Response of humic acid formation to elevated nitrate during chicken manure composting[J]. Bioresour Technol, 2018, 258: 390-394. DOI:10.1016/j.biortech.2018.03.056 ( 0) |
| [15] |
AMBROSOLI R, PETRUZZELLI L, MINATI J L, et al. Anaerobic PAH degradation in soil by a mixed bacterial consortium under denitrifying conditions[J]. Chemosphere, 2005, 60(9): 1231-1236. DOI:10.1016/j.chemosphere.2005.02.030 ( 0) |
| [16] |
JOURAIPHY A, AMIR S, EL GHAROUS M, et al. Chemical and spectroscopic analysis of organic matter transformation during composting of sewage sludge and green plant waste[J]. Int Biodeter Biodegr, 2005, 56(2): 101-108. DOI:10.1016/j.ibiod.2005.06.002 ( 0) |
| [17] |
王利娟, 谢利娟, 杨桂军, 等. 不同填充剂及复合微生物菌剂对蓝藻堆肥效果的影响[J]. 环境工程学报, 2009, 3(12): 2261-2265. ( 0) |
| [18] |
WU J Q, ZHAO Y, QI H S, et al. Identifying the key factors that affect the formation of humic substance during different materials composting[J]. Bioresour Technol, 2017, 244: 1193-1196. DOI:10.1016/j.biortech.2017.08.100 ( 0) |
| [19] |
SANCHEZ-MONEDERO M A, CEGARRA J, GARCIA D, et al. Chemical and structural evolution of humic acids during organic waste composting[J]. Biodegradation, 2002, 13(6): 361-371. DOI:10.1023/A:1022888231982 ( 0) |
| [20] |
鲍艳宇, 颜丽, 娄翼来, 等. 鸡粪堆肥过程中各种碳有机化合物及腐熟度指标的变化[J]. 农业环境科学学报, 2005(4): 820-824. DOI:10.3321/j.issn:1672-2043.2005.04.046 ( 0) |
| [21] |
WEN B, ZHANG J J, ZHANG S Z, et al. Phenanthrene sorption to soil humic acid and different humin fractions[J]. Environ Sci Technol, 2007, 41(9): 3165-3171. DOI:10.1021/es062262s ( 0) |
| [22] |
牟克珺. 不同调理剂及堆制条件对猪粪堆肥理化指标的影响[D]. 兰州: 甘肃农业大学, 2008.
( 0) |
| [23] |
唐璐. 不同堆肥条件对堆肥过程中碳素损失及腐殖质形成的影响研究[D]. 杭州: 杭州师范大学, 2016.
( 0) |
| [24] |
ADHIKARI B K, BARRINGTON S, MARTINEZ J, et al. Effectiveness of three bulking agents for food waste composting[J]. Waste Manage, 2009, 29(1): 197-203. DOI:10.1016/j.wasman.2008.04.001 ( 0) |
| [25] |
ZHAO Y, WEI Y Q, ZHANG Y, et al. Roles of composts in soil based on the assessment of humification degree of fulvic acids[J]. Ecol Indic, 2017, 72: 473-480. DOI:10.1016/j.ecolind.2016.08.051 ( 0) |
| [26] |
王悦, 张润, 刘莎. 猪粪和玉米秸秆的不同配方比对厌氧发酵产沼气的影响[J]. 现代农村科技, 2018(3): 69-72. DOI:10.3969/j.issn.1674-5329.2018.03.063 ( 0) |
| [27] |
江滔, 李国学, 唐琼, 等. 腐熟堆肥筛上粗颗粒对堆肥化过程中温室气体排放的影响[J]. 农业环境科学学报, 2015, 34(7): 1363-1370. DOI:10.11654/jaes.2015.07.019 ( 0) |
| [28] |
张雪英, 张宇峰. 污泥堆肥前后水溶性有机物的性质变化研究[J]. 农业环境科学学报, 2008(4): 1667-1671. DOI:10.3321/j.issn:1672-2043.2008.04.068 ( 0) |
| [29] |
黄国锋, 钟流举, 张振钿, 等. 有机固体废弃物堆肥的物质变化及腐熟度评价[J]. 应用生态学报, 2003(5): 813-818. DOI:10.3321/j.issn:1001-9332.2003.05.037 ( 0) |
| [30] |
CANARUTTO S, PETRUZZELLI G, LUBRANO L, et al. How composting affects heavy metal content[J]. Bio Cycle(United States), 1991, 32(6): 48-50. ( 0) |
2019, Vol. 40



0)