杉木Cunninghamia lanceolata在我国已有上千年栽培历史,因其生长迅速、产量高、材质优良等特性[1],长期以来深受人们的青睐而得以广泛种植。随着人们对杉木需求的日益高端化、高值化和生态化,杉木大径材培育对国家木材安全、生态安全、绿色发展越来越具有战略性意义[2-3]。近年来,许多学者致力于杉木大径材定向培育技术研究,提出了不同立地指数下的适宜保留密度范围[4-5],针对不同遗传品质苗木及土壤条件提出了相应的抚育、施肥等经营措施[6-7],运用林分经营模型对不同地区提出了间伐时间、间伐强度等优化管理模式[8]。但涉及杉木大径材材种形成的主要影响因子及其影响规律等方面的研究鲜有报道[9]。粤北、粤西北、粤东北等南岭山区丘陵地带是我国杉木四大中心产区之一,其地理位置优越,受季风环流影响,降水丰富,气候温暖湿润[10],拥有培育优质高效杉木大径材林分得天独厚的自然条件。本研究基于广东省南岭山区特殊的自然生态条件,将现有杉木大径材林分特征因子数量化或标准化,形成综合反映林分控制因子和生态环境因子的指数评价体系,通过挖掘大径材形成主导影响因子并探究其影响规律,构建南岭山区杉木大径材出材量的预测模型,以期为广东省杉木大径材培育和经营提供理论指导,推动杉木由高密度、中小径材为经营目标向以生态为先导的大径材经营模式转变。
1 研究区域自然概况本研究在对粤北、粤西北、粤东北等南岭山区范围内现存具有杉木大径材的林分全面踏查的基础上,选择广东省肇庆市国有新岗林场,韶关市国有韶关林场、国有小坑林场、国有河口林场、国有大瑶山林场,广东省连山林场、广东连山笔架山省级自然保护区等7个地点,共计36块保存完好、长势优良的典型杉木大径材林分。研究区域位于111°57′~113°81′E,24°13′~25°55′N,地处南岭山脉西南至南麓,地貌以山地丘陵为主,土层深厚,土壤为赤红壤和黄壤;属中亚热带季风气候,年平均气温20 ℃左右,年均降雨量1600 mm,相对湿度80%。
2 研究方法 2.1 标准样地设置与调查2018—2019年,在上述7个地点的杉木大径材林分中选择不同坡向和坡位,设置400 m2(20 m×20 m)标准样地,4个角点埋设pvc管作为标志,共计设置标准样地36个。对标准样地内的杉木进行每木检尺,测量胸径、树高、冠幅、枝下高、干形等,同时按照梅花形选择5株优势木,测其树高,求优势木平均高。记录标准样地的郁闭度、经纬度、海拔、坡形、坡度、坡向、坡位等,并收集造林时间、造林密度、造林种苗情况以及抚育、施肥等林分经营历史和背景资料。标准样地基本情况见表1。
|
|
表 1 标准样地基本情况 Table 1 Basic situation of standard plot |
在标准样地中沿对角线布设取样点3个,每个样点分别在0~10、10~20和20~40 cm土层取样,采用多点取样,同层次混合,取土壤各层次混合样品,带回室内风干,拣去石砾、植物根系和碎屑,过2.000和0.149 mm土壤筛后,储藏于密封的塑料自封袋中,用于土壤化学性质(pH、有机质、全N、全P、全K、水解N、速效P和速效K等)测定[11]。同时,采用“环刀法”取各层次的原状土壤,带回实验室,测定其水分物理性质(土壤容重、自然含水量、最大持水量、最小持水量、田间持水量、总孔隙度、非毛管孔隙度、毛管孔隙度等)[11]。
2.3 林分数据计算 2.3.1 径阶平均胸径(以2 cm为1个径阶,将所测量的杉木8~42 cm胸径划分为18个径阶,计算各径阶平均胸径:
| $ {\bar D}_{i}=\sqrt{\frac{1}{N_i}\sum {{d}_{i}}^{2}}, $ | (1) |
式中,di为第i径阶中实测胸径值,Ni为第i径阶总株数。
运用Excel软件对胸径和树高进行拟合,径阶平均树高最佳回归方程为:
| ${\bar H_i} = 2.884\;8\bar D_i^{0.561\;0},\;\left( {R = 0.56} \right)\text{。}$ | (2) |
广东省杉木单株材积公式为:
| ${V_{\rm{s}}} = 0.000\;058\;770\;42 \times {d^{1.969\;983\;1}} \times {h^{0.896\;461\;57}},$ | (3) |
式中,d为单株胸径,h为单株树高。
径阶材积公式为:
| $\begin{split}{V_i} =& 0.000\;058\;770\;42 \times {\bar D_i}^{1.969\;983\;1} \times\\& {\bar H_i}^{0.896\;461\;57} \times {N_i}\text{。}\end{split}$ | (4) |
林分蓄积量为标准样地中各径阶活立木蓄积量之和,公式为:
| $V = \sum {V_i}\text{。}$ | (5) |
参照《木材标准实用手册》[12],根据过渡径阶大径材材种株数比例(Ai/%),统计各标准样地大径材蓄积量之和,公式为:
| $\begin{split}{V_{\rm{l}}} = &\sum 0.000\;058\;770\;42 \times {\bar D_i}^{1.969\;983\;1} \times\\& {\bar H_i}^{0.896\;461\;57} \times {N_i} \times {A_i}\text{。}\end{split}$ | (6) |
大径材出材量(规格材原条)公式[13]采用:
| $\begin{split}{O_{\rm{l}}} =& \sum 3.602\;437\;58 \times {10^{ - 5}} \times\\& {\bar D_i}^{1.947\;520\;76} \times {\bar H_i}^{1.007\;937\;69} \times {N_i} \times {A_i}\text{。}\end{split}$ | (7) |
统计各标准样地大径材(胸径D≥26 cm)株数占样地总株数的百分比。
2.3.7 大径材出材率(Yl)统计大径材出材量占林分蓄积量的百分比,公式为:
| ${Y_{\rm{l}}} = {O_{\rm{l}}}/V \times 100{\text{%}} \text{。}$ | (8) |
根据标准样地内优势木平均高和林分年龄,查广东省杉木立地指数表[14],确定各标准样地的立地指数。
2.4.2 土壤综合肥力指数(I)采用隶属函数法对土壤8个物理性质和8个化学性质测定指标值进行标准化处理,其中,容重采用降型函数公式(9),其他指标采用升型函数公式(10):
| $ Q\left({X}_{i}\right)=\frac{{X}_{i\mathrm{m}\mathrm{a}\mathrm{x}}-{X}_{ij}}{{X}_{i\mathrm{m}\mathrm{a}\mathrm{x}}-{X}_{i\mathrm{m}\mathrm{i}\mathrm{n}}},$ | (9) |
| $ Q\left({X}_{i}\right)=\frac{{X}_{ij}-{X}_{i\mathrm{m}\mathrm{i}\mathrm{n}}}{{X}_{i\mathrm{m}\mathrm{a}\mathrm{x}}-{X}_{i\mathrm{m}\mathrm{i}\mathrm{n}}}, $ | (10) |
式中,Q
对隶属度值进行主成分分析,得到各指标的公因子方差,再计算各指标的权重,公式如下:
| ${\omega _i} = {C_i}\Bigg/\sum\limits_{i = 1}^n {{C_i}} ,$ | (11) |
式中,
应用模糊集加权综合法,计算土壤综合肥力指数(I)[15],公式如下:
| $ I=\sum\limits_{i=1}^{n}\left[{\omega _i} \cdot Q\left({X}_{i}\right)\right], $ | (12) |
式中,
为了使一些相关性较大、性质相近的定性因素能进行数量统计分析,对坡向、坡位、坡度、坡形等指征林地微地形要素的指标进行数量化分级,分级标准参考《杉木大径材培育技术规程:LY/T 2809—2017》[16],并按其对杉木生长的影响程度提出“林地微地形指标数量化表”(表2),进行数据标准转化处理及计算各指标权重,根据数量化理论Ⅲ[17]计算数量化加权值并作为微地形指数(M)。
|
|
表 2 林地微地形指标数量化表 Table 2 Quantization table of forest land micro-topography index |
根据GPS定位,将海拔和纬度数据进行几何平均数转化[14],得到地理指数(G)。
2.5 数据分析采用Microsoft excel 对所有数据进行统计及分析,用SAS V8.1进行显著性检验,用SPSS 19.0进行数据标准化转换及主成分分析等。
3 结果与分析 3.1 立地指数(SI)对杉木大径材生长的影响36个标准样地的SI范围为16~22,SI为16、18、20和22的标准样地分别占总样地数的38.9%、36.1%、13.9%和11.1%。不同SI与大径材蓄积量(Vl)、大径材出材量(Ol)、大径材株数比例(ND≥26)和大径材出材率(Yl)等指标进行相关性分析,结果(图1)显示,随着SI的增加,大径材成材各相关指标均呈增加的趋势,相关性均达到极显著水平(P<0.01),相关系数为0.37~0.44。根据SI与Vl的二次项回归方程(y = 1.51x2 − 17.20 x + 111.16),当SI为16、18、20和22时,Vl的理论值分别为223.12、291.56、372.10和464.74 m3·hm−2,相邻立地指数的Vl增幅为30%左右;根据立地指数与Ol的指数方程(y = 18.97e0.13x),当SI为16、18、20和22时,Ol的理论值分别为163.67、214.27、280.52和367.25 m3·hm−2,相邻立地指数的Ol增幅均为31.0%,与Vl增幅基本一致;根据SI与ND≥26的二次项回归方程(y = −0.20 x2 + 12.53x − 120.74),当立地指数为16、18、20和22时,ND≥26的理论值分别为20.1%、39.4%、49.1%和57.3%,SI为18的林地生产大径材株数比SI为16的提高近100.0%,SI为20、22的比18、20的增加幅度逐渐减缓;根据立地指数与Yl的二次项回归方程(y = −0.38 x2 + 17.57x−145.64),当SI为16、18、20和22时,Yl的理论值分别为38.6%、48.0%、54.4%和57.7%。
|
图 1 不同立地指数(SI)下的杉木大径材生长相关指标分析 Fig. 1 Analysis of growth indexes for large-diameter wood of Cunninghamia lanceolataunder different site index (SI) |
36个标准样地的土壤综合肥力指数(I)为0.11~0.57,数值越大,土壤综合肥力越高。不同土壤综合肥力指数与大径材蓄积量(Vl)、大径材出材量(Ol)、大径材株数比例(ND≥26)和大径材出材率(Yl)等指标进行相关性分析,结果(图2)显示,随着土壤综合肥力指数的增加,大径材成材各相关指标均呈增加的趋势,其中,I与Vl、Ol、ND≥26等指标的相关性达显著水平(P<0.05),相关系数为0.24~0.39;I与Yl相关性未达显著水平(P>0.05)。
|
图 2 不同土壤综合肥力指数(I)下的杉木大径材生长相关指标分析 Fig. 2 Analysis of growth indexes for large-diameter wood of Cunninghamia lanceolataunder different soil integrated fertility indexes (I) |
对标准样地土壤8个物理性质和8个化学性质测定指标值进行主成分分析,结果(图3)显示,土壤孔隙度和土壤持水量等土壤物理性质占较大权重,是土壤综合肥力的关键指标,其次是土壤N和有机质含量。可见,土壤物理结构、土壤N和有机质含量是杉木大径材形成的重要土壤指标。
|
图 3 土壤理化性质指标权重雷达图 Fig. 3 Weighted radar chart of indexes for soil physical and chemical properties |
将坡向、坡位、坡度、坡形等指征林地微地形要素的指标数量化、综合化,以微地形指数(M)作为综合指标考察林地微地形对杉木大径材生长的影响。36个标准样地的M为−1.14~1.25,不同微地形指数与大径材蓄积量(Vl)、大径材出材量(Ol)、大径材株数比例(ND≥26)和大径材出材率(Yl)等指标进行相关性分析,结果(图4)显示,随着微地形指数的增加,大径材成材各相关指标均呈增加的趋势,相关性均达到极显著水平(P<0.01),相关系数为0.22~0.33。根据林地微地形指标数量化表(表2),微地形指数最大的东北坡向、下坡位、坡度低于35°的凹坡有利于南岭山区杉木大径材的生长与形成。
|
图 4 不同微地形指数(M)下的杉木大径材生长相关指标分析 Fig. 4 Analysis of growth indexes for large-diameter wood of Cunninghamia lanceolataunder different micro-topography indexes (M) |
树木的生长也受海拔和纬度的影响[18],因此本研究将纬度和海拔转换为地理指数,以研究其对杉木大径材生长的影响。从图5可知,地理指数(G)与大径材成材各指标相关性均不显著(P>0.05),随地理指数的增加,整体呈现先下降再上升的U型曲线趋势。南岭山区地貌特征以海拔200~1000 m的低山丘陵为主[10],纬度范围为N 24°~26°,本研究选择的36个杉木大径材标准样地的海拔均在200~1000 m范围内,基本囊括了南岭山区所有海拔梯度级,具有代表性,可见,海拔和纬度对南岭山区杉木大径材形成的影响不明显。
|
图 5 不同地理指数(G)下的杉木大径材生长相关指标分析 Fig. 5 Analysis of growth indexes for large-diameter wood of Cunninghamia lanceolata under different geographical index (G) |
36个标准样地林龄为20~32年,参照南方杉木用材林龄组划分标准[19],杉木近熟林(20~25年)占41.7%,杉木成熟林(26~32年)占58.3%。从图6可知,林龄(A)与大径材成材各指标相关性均不显著(P>0.05),随林龄的增大整体呈现先上升再下降的倒U型曲线趋势。由于本研究对象为南岭山区具有杉木大径材的林分,所有标准样地的杉木林龄均在近熟至成熟期10年左右的区间内,因此林龄效应及对大径材生长的影响趋势体现不充分,而图6显示,杉木大径材等指标后期出现下降的趋势,主要是标准样地中30~32年生的林分立地指数多为16或18,且土壤综合肥力指数、微地形指数值相对较低,其大径材成材各指标均低于立地指数为18以上且林龄较小的林分。可见,南岭山区杉木大径材普遍在近熟林至成熟林时期(23~30年)就已形成,不具杉木大径材生产潜力的林分即使生长期更长,也难以形成大径材。
|
图 6 不同林龄(A)下的杉木大径材生长相关指标分析 Fig. 6 Analysis of growth indexes for large-diameter wood of Cunninghamia lanceolataunder different stand age (A) |
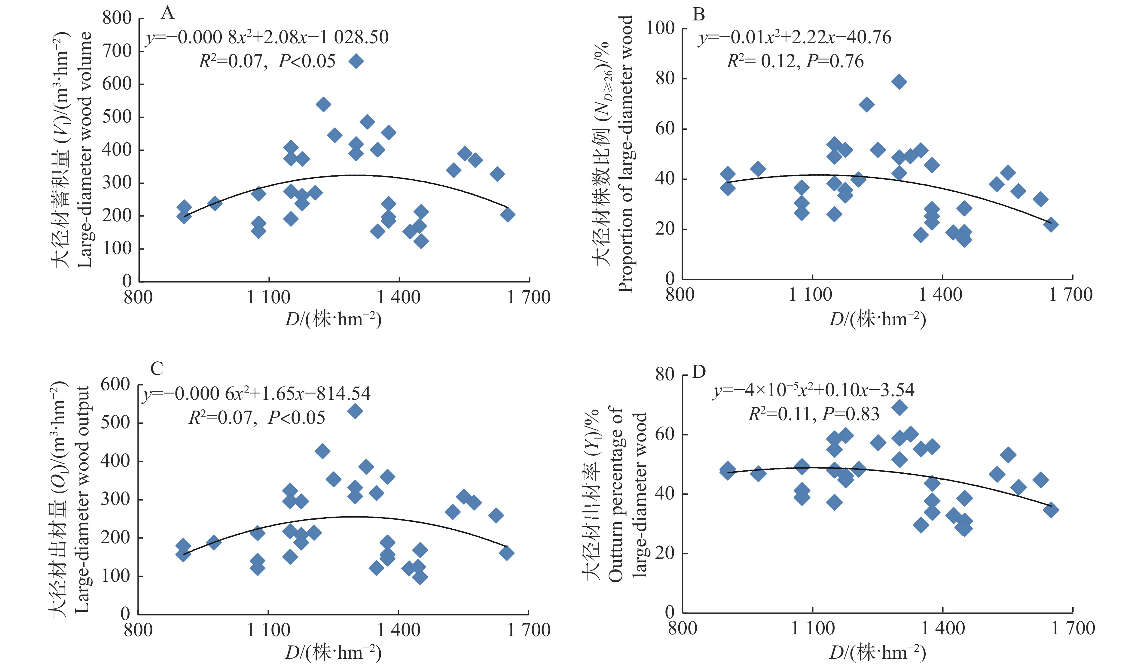
南岭山区杉木造林密度普遍为2 m×2 m(2500株·hm−2),本研究调查的36个标准样地林分保留密度(D)为900~1700株·hm−2,保留密度与大径材蓄积量(Vl)、大径材出材量(Ol)、大径材株数比例(ND≥26)和大径材出材率(Yl)等指标进行相关性分析,结果(图7)显示,Vl和Ol均随保留密度的增加呈先缓慢上升后缓慢下降的平缓二次项曲线趋势,相关性达显著水平(P<0.05);ND≥26和Yl随保留密度的增加先平缓下降然后下降幅度逐渐增大,但相关性不显著。保留密度为1100~1300株·hm−2时,大径材成材各指标均处于较大值区间。
|
图 7 不同保留密度(D)下的杉木大径材生长相关指标分析 Fig. 7 Analysis of growth indexes for large-diameter wood of Cunninghamia lanceolataunder different reserved density (D) |
根据36个标准样地调查统计数据,选取林分特征因子:立地指数(SI),林龄(A)、保留密度(D),以Schumacher收获模型[3, 20]为基础,构建杉木大径材出材量(Ol)预测模型。该模型基本形式为:
| $\ln \left( {{O_{\rm{l}}}} \right) = {\beta _0} + {\beta _1}{\rm{SI}} + {\beta _2}{A^{ - 1}} + {\beta _3}\ln D + {\beta _4}{\rm{S}}{{\rm{I}}^{ - 1}},$ |
通过SPSS软件求解参数β0~β4,获得模型如下:
| $\begin{split}\;&\\ {O_{\rm{l}}}{\rm{ = }}&{{\rm{e}}^{{\rm{5}}{\rm{.781 + 0}}{\rm{.004SI + 5}}{\rm{.004}}{A^{{\rm{ - 1}}}}{\rm{ + 0}}{\rm{.261}}\ln D{\rm{ - 45}}{\rm{.151S}}{{\rm{I}}^{{\rm{ - 1}}}}}},\\& \qquad\qquad \left( {R = 0.62,P < 0.01} \right)\text{。}\end{split}$ |
选取不同立地指数、不同林龄、不同保留密度样地的实测数据,将模型的大径材预测产量与实际产量进行比较(表3),平均预测精度90%,因此,可利用该模型初步预测评估南岭山区20~30年生杉木林分的大径材出材量。
|
|
表 3 杉木大径材出材量实际值与预测值 Table 3 The actual value and predicted value of large-diameter wood output of Cunninghamia lanceolata |
杉木是广东省南岭山区传统优势造林树种,但现有林分以中幼林为主,且经营模式单一、集约化程度低,与周边省份相比,杉木林分生产力与自然资源优势潜力尚未充分发挥[21]。本研究对广东省南岭山区范围内仅存为数不多、保存完好的杉木大径材林分进行调查,以空间代替时间,基于现有样本数据挖掘大径材形成的主导生态环境因子和林分控制因子并探究其影响规律,以期为广东省杉木大径材培育和经营提供理论指导。
立地指数是指林分中在基准年龄时自由生长的优势木平均高度值,可考察林地生产某一类型林木的生产潜力,常作为指导人工林培育最直观的指标[16]。惠刚盈等[9]认为在材种形成过程中,无论有何种保留密度,只要立地指数过低,在目的材种的培育期限内,就无法产生需要的材种。立地指数越高,林木生长速度越快,林分内活立木间的竞争也越大,成熟时期林分内保留木的株数也相对越低,大径材出材率也相对越高[22-23]。现有研究普遍以立地指数16、18作为培育不同杉木目标材种的划分标准[4, 6, 9, 24-25]。在南岭山区,杉木大径材成材各相关指标也是随立地指数的增加均呈显著增加的趋势(P<0.01),在立地指数16~22范围内,相邻立地指数的大径材蓄积量和大径材出材量增幅为30%左右,立地指数18的林地生产大径材株数比立地指数16的提高近100%,大径材出材率超过40%。可见,立地指数是南岭山区杉木大径材材种形成的重要限制因子,立地指数18及以上适宜培育杉木大径材。
土壤肥力是土壤的本质属性,对林木的长势和品质有直接影响[26-27]。土壤肥力评价能够揭示土壤利用与功能有关的土壤内在属性之间的异同,科学地确定森林土壤肥力指标并进行评价,对立地生产力和多目标森林经营的研究也具有重要价值[28]。本研究采用土壤综合肥力指数作为土壤整体响应特征考察不同土壤对杉木大径材生长的影响。研究发现,大径材成材各相关指标随土壤综合肥力指数的增加均呈增加的趋势,与大径材蓄积量、大径材出材量、大径材株数比例等指标的相关性达显著水平(P<0.05)。据主成分分析结果,土壤综合肥力指数的权重贡献率较大的是土壤物理性质、土壤N含量和有机质含量。土壤物理性质密切影响根系的生长、最大扎根深度和水分的有效吸收[28],是与南岭山区杉木大径材的形成紧密相关的土壤指标,在进行杉木大径材经营时,应首先选择土壤孔隙度和持水量较高的立地。土壤有机质在提供林木生长所需要养分的同时,能有效改良土壤结构,使土壤变得疏松,促进土壤形成水稳性团聚体,增加土壤持水和保肥能力,有利于根系的生长、土壤微生物和土壤动物活动[29-30];土壤全氮和水解氮绝大部分是以有机态的形式积累和贮存在土壤有机质中,与土壤有机质相关性更密切,相关系数分别为9.07和0.87[31],因此,土壤有机质是与杉木大径材成材密切相关的又一重要土壤指标。
坡向、坡位、坡度、坡形等是形成林地微地形的主要因素,南岭山区杉木大径材成材各相关指标随着微地形指数的增加,均呈显著增加的趋势(P<0.01)。不同坡向、坡位、坡度、坡形等微地形要素会形成不同的山区小气候,东北坡向等阴坡接受太阳直接辐射较少,主要以地面散射为主,日温差较小、林分相对湿度高[32];坡位和坡度对水土流失和集聚都有影响,坡形则与风速和蒸腾强度有关[32],都直接影响到土层的厚度和含水量,故微地形指数最大的东北坡向、下坡位、坡度低于35°凹坡的土层较深厚,排水良好,所形成的小气候最有利于净光合产物长期积累。杉木是亚热带树种,温暖湿润、多雾静风的气候环境以及深厚、排水良好的土壤条件有利于杉木生长,而水湿条件对杉木径向生长的影响非常大,因此杉木大径材的形成对小气候的要求十分严格。南岭山区属于杉木产区分区中产力水平最高的中带东区[16],气候温暖而不炎热,太阳辐射和水湿条件等微地形因素对杉木大径材形成是比温度更重要的限制因子。
林分密度是通过影响林分直径结构进而影响林分材种结构的[33-34],保持合理的林分密度也是杉木大径材培育的关键。林分密度与林分直径呈负相关关系已达成共识[35],关于如何对林分密度进行合理的调控,从而获得较高大径材出材量和出材率,并平衡单位面积整体木材产量,已有很多学者对此展开了广泛的研究。佟金权[24]、刘春燕等[36]认为保留密度为1200~1300 株·hm−2时,林分整体胸径最大,较为适合杉木大径材的培育;惠刚盈等[9]、涂育合等[4]根据不同立地指数提出了不同的保留密度范围,认为立地指数16~18、保留密度1050~1350株·hm−2时适宜培育中大径材,立地指数越大保留密度应越低。本研究发现,大径材蓄积量和大径材出材量均随保留密度的增加呈先缓慢上升后缓慢下降的平缓二次项曲线趋势,相关性达显著水平(P<0.01);大径材株数比例和大径材出材率随保留密度的增加,先平缓下降,然后下降幅度逐渐增大,但相关性不显著。南岭山区18以上立地指数,保留密度在1100~1300株·hm−2范围内时,大径材成材各指标均达到较大值区间。
本研究以Schumacher收获模型为基础,构建杉木大径材出材量(Ol)预测模型:Ol=
| [1] |
阮梓材. 杉木遗传改良[M]. 广州: 广东科技出版社, 2003.
( 0) |
| [2] |
王硕. 加快建设国家储备林维护生态和木材安全[J]. 中国林业产业, 2017, 44(4): 25-27. ( 0) |
| [3] |
刘巧红. 基于大径级培育目标的杉木用材林生长过程分析与间伐响应[D]. 北京: 北京林业大学, 2016.
( 0) |
| [4] |
涂育合, 叶功富, 林武星, 等. 杉木大径材定向培育的适宜经营密度[J]. 浙江林学院学报, 2005, 22(5): 530-534. ( 0) |
| [5] |
张炜银, 陈存及, 董建文, 等. 杉木大径材密度控制连续状态的动态规划[J]. 福建林学院学报, 2000, 20(2): 97-100. DOI:10.3969/j.issn.1001-389X.2000.02.001 ( 0) |
| [6] |
曾志光. 杉木大径材定向培育措施探讨[J]. 绿色科技, 2017(9): 94-95. ( 0) |
| [7] |
唐隆校, 潘建华, 赖根伟. 施肥与间伐对杉木大径材培育的影响分析[J]. 华东森林经理, 2016, 30(3): 29-32. DOI:10.3969/j.issn.1004-7743.2016.03.008 ( 0) |
| [8] |
盛炜彤. 杉木人工林优化栽培模式[M]. 北京: 中国科学技术出版社, 2004.
( 0) |
| [9] |
惠刚盈, 胡艳波, 罗云伍, 等. 杉木中大径材成材机理的研究[J]. 林业科学研究, 2000, 13(2): 177-181. DOI:10.3321/j.issn:1001-1498.2000.02.011 ( 0) |
| [10] |
王钰莹, 董玉祥. 南岭山地地域分界性的地理探测[J]. 热带地理, 2018, 38(3): 337-346. ( 0) |
| [11] |
张万儒. 森林土壤定位研究方法[M]. 北京: 中国林业出版社, 1986.
( 0) |
| [12] |
中国木材标准化技术委员会. 木材标准实用手册[M]. 北京: 中国林业出版社, 1985.
( 0) |
| [13] |
刘景芳, 童书振, 陈孝, 等. 杉木原条出材量(率)表的编制研究[J]. 林业科学研究, 1995, 8(4): 402-407. DOI:10.3321/j.issn:1001-1498.1995.04.012 ( 0) |
| [14] |
何昭珩, 黄金龙, 刘有美, 等. 广东杉木立地指数与环境及土壤因子的关系[J]. 热带林业科技, 1983(3): 1-5. ( 0) |
| [15] |
黄钰辉, 张卫强, 甘先华, 等. 南亚热带杉木林改造不同树种配置模式的土壤质量评价[J]. 中国水土保持科学, 2017, 15(3): 123-130. ( 0) |
| [16] |
中国林业科学研究院. 杉木大径材培育技术规程: LY/T 2809—2017[S]. 北京: 国家林业局, 2017.
( 0) |
| [17] |
王久立, 李亚光. 数量化理论Ⅲ在土地质量综合评价中的应用[J]. 北京林业大学学报, 1992, 14(2): 31-37. ( 0) |
| [18] |
马学欣, 侯建花, 易晓梅. 不同地貌杉木人工林胸径树高生长曲线研究[J]. 华东森林经理, 2019, 33(1): 71-74. ( 0) |
| [19] |
国家林业局调查规划设计院. 主要树种龄级与龄组划分: LY/T 2908—2017[S]. 北京: 国家林业局, 2017.
( 0) |
| [20] |
MAMO N, STERBA H. Site index functions for Cupressus lusitanica at Munesa Shashemene, Ethiopia
[J]. Forest Ecology and Management, 2006, 237(1): 429-435. ( 0) |
| [21] |
郑会全, 胡德活, 李小川, 等. 广东杉木短轮伐期优质林培育策略[J]. 林业科技通讯, 2018(5): 20-23. ( 0) |
| [22] |
曾春阳, 唐代生, 唐嘉锴. 森林立地指数的地统计学空间分析[J]. 生态学报, 2010, 30(13): 3465-3471. ( 0) |
| [23] |
NISHIZONO T. Effects of thinning level and site productivity on age-related changes instand volume growth can be explained by a single rescaled growth curve[J]. Forest Ecology and Management, 2010, 259(12): 2276-2291. DOI:10.1016/j.foreco.2010.03.002 ( 0) |
| [24] |
佟金权. 不同地位指数不同密度杉木人工林生产力的比较[J]. 福建农林大学学报(自然科学版), 2008, 37(4): 369-373. ( 0) |
| [25] |
段爱国, 张建国, 童书振, 等. 杉木人工林林分直径结构动态变化及其密度效应的研究[J]. 林业科学研究, 2004, 17(2): 178-184. DOI:10.3321/j.issn:1001-1498.2004.02.007 ( 0) |
| [26] |
肖石红, 高常军, 蔡坚, 等. 南亚热带杉木和红椎林及其混交林的土壤肥力[J]. 森林与环境学报, 2018, 38(2): 142-148. ( 0) |
| [27] |
王纪杰, 王炳南, 李宝福, 等. 不同林龄巨尾桉人工林土壤养分变化[J]. 森林与环境学报, 2016, 36(1): 8-14. ( 0) |
| [28] |
李惠通, 张芸, 魏志超, 等. 不同发育阶段杉木人工林土壤肥力分析[J]. 林业科学研究, 2017, 30(2): 322-328. ( 0) |
| [29] |
杨承栋. 我国人工林土壤有机质的量和质下降是制约林木生长的关键因子[J]. 林业科学, 2016, 52(12): 1-12. DOI:10.11707/j.1001-7488.20161201 ( 0) |
| [30] |
DORAN J W, ZEISS M R. Soil health and sustainability: Managing the biotic component of soil quality[J]. Applied Soil Ecology, 2000, 15(1): 3-11. DOI:10.1016/S0929-1393(00)00067-6 ( 0) |
| [31] |
杨承栋, 张万儒. 卧龙自然保护区森林土壤有机物质的研究[J]. 土壤学报, 1986, 23(1): 30-39. ( 0) |
| [32] |
宛志沪, 王太明, 叶志琪. 地形小气候与杉木生长发育关系的探讨[J]. 山地研究, 1983, 1(4): 44-49. ( 0) |
| [33] |
相聪伟, 张建国, 段爱国, 等. 杉木人工林材种结构的立地及密度效应研究[J]. 林业科学研究, 2015, 28(5): 654-659. DOI:10.3969/j.issn.1001-1498.2015.05.008 ( 0) |
| [34] |
WANG M, RENNOLLS K. Tree diameter distribution modelling: Introducing the logit-logistic distribution[J]. Canadian Journal of Forest Research, 2005, 35(6): 1305-1313. DOI:10.1139/x05-057 ( 0) |
| [35] |
童书振, 盛炜彤. 杉木林分密度效应研究[J]. 林业科学研究, 2002, 15(1): 66-75. DOI:10.3321/j.issn:1001-1498.2002.01.011 ( 0) |
| [36] |
刘春燕, 易鹏. 浅谈不同造林密度对杉木生长的影响[J]. 南方林业, 2017, 11(30): 47-49. ( 0) |
2021, Vol. 42



0)