农药喷施是减少病虫害、提高作物产量的关键手段[1],农药喷施过程受到诸如喷头型号、药液喷施量、液滴频谱、喷雾器上喷头姿态等的影响[2-3],不同的作业方式和作业环境往往导致不同的作业效果,不适宜的作业环境与作业方式会使药液飘失并产生药害。作为减少农药用量、降低农药残留和污染的途径之一,农业航空施药技术近几年在我国迅速发展,并受到各个相关领域的广泛关注[4]。低容量或超低容量喷雾是农业航空施药技术的主要喷雾方式[5],由于喷施雾滴粒径小,易产生飘移,探明环境风速对喷施雾滴雾化特性及飘移的影响规律是施药技术的关键。野外实地试验[6-7]、风洞试验[8]、仿真模拟[9]是测量喷雾沉积飘移的常用手段。野外实地试验难以控制风速、可重复性差、成本高昂。相较于野外实地试验,风洞试验和仿真模拟能够模拟真实风速、风向等气象环境,准确控制相关参数,试验重复性好、可靠性高,已成为研究航空喷施雾滴雾化及飘移特性的主流方法[10-12]。风洞试验可以根据试验需求对风速、风向等参数进行精准控制,从而模拟无人机作业时的真实飞行环境,国内外许多学者利用风洞模拟自然风,对不同参数下喷头喷施雾滴参数特性进行了相关试验。Teske等[10]以旋转雾化器为研究对象,利用澳大利亚昆士兰大学的开路式风洞对雾滴雾化效果进行了研究,并建立了相关数据模型。Kirk[13]通过改变不同管道压力、风速和喷头安装角度,对CP系列喷头进行了雾滴粒径拟合,预测不同参数下喷头雾滴粒径大小。Fritz等[14]和Hoffmann等[15]基于美国农业部农业航空研究中心的航空施药风洞,研究了高低速条件下的雾滴粒径分布规律;Martin等[16]利用该风洞对静电喷雾在不同风速条件下的雾滴分布规律进行了研究。曾爱军等[17]针对常用扇形喷头雾化特性进行测试,通过对飘移潜在指数的计算,发现雾滴粒径和风速是影响雾滴飘移的主要因素。张慧春等[18]通过在昆士兰大学的风洞试验,研究了风速、喷头结构型号、药剂和采样距离对雾滴飘失的影响,建立了包含这4个因素的多元非线性雾滴飘移特性模型,提供了判断喷头雾谱等级的量化标准。唐青等[19]基于北京农业智能装备技术研究中心自主设计制造的IEA-I型高速风洞,采用马尔文Spraytec雾滴粒度仪对标准扇形喷头和空气诱导喷头在高速气流条件下的雾化特性进行了研究,发现随着风速的增加,雾滴体积中径逐渐减少;管道压力的变化对标准扇形喷头的雾滴体积中径影响较大。
在仿真模拟方面,随着流体力学的不断发展和计算机软硬件性能的提升,相关学者基于仿真模拟方法、针对喷施雾滴雾化和分布特性也开展了一系列的研究工作。Dekeyser等[2]通过计算流体力学 (Computational fluid dynamics,CFD)模拟技术,对几种常用喷头的羽流分布和附带空气流进行研究,证明了液体分布与产生的空气流动直接相关。Duga等[20]考虑树木结构、冠层风流和喷雾器的运动,通过建立三维CFD模型,评估计算果园喷雾器喷雾沉积和飘移,并对不同喷嘴布置的苹果园进行了试验验证。Hong等[21]开发了一个综合CFD模型,预测了空气辅助喷雾器在树冠内部和周围的风速分布,并与实际测试结果对比,结果表明该模型可以合理预测空气辅助喷雾器排出的空气分布。孙国祥等[22]基于三维模拟离散相技术建立了不同喷雾高度和风速下的雾滴沉积量和沉积率预测模型。刘雪美等[23]利用三维流场模拟多相流模型研究了在自然风影响、辅助气幕胁迫和自身重力作用下,连续相和雾滴粒子群离散相耦合的交互作用对雾滴沉积的影响。风洞试验和仿真模拟是研究喷头雾化及雾滴沉积飘移特性的重要手段,鲜见有人将风洞试验与仿真模拟结合起来研究航空喷施作业药液雾滴雾化和沉积过程。本文以航空喷施作业常用的Lechler系列LU 120-015和LU 120-03标准扇形压力式喷头为研究对象,通过仿真模拟将喷头喷施雾滴分布特性可视化,探究雾滴的沉积和飘移分布特性,结合实际的风洞试验验证模拟结果的准确性,并对其喷施过程的雾滴飘移特性进行分析,以期为航空植保喷施实际作业过程中作业参数的选择和关键部件改进提供数据支撑和理论指导。
1 模型构建及模拟 1.1 几何模型建立及网格划分如图1所示,在Ansys15.0 Workbench下集成三维建模软件Geometry中建立模拟计算域模型,模拟计算域设为长20.0 m (x:−2.5~17.5 m)、入口处宽2.0 m (z:−1.0~1.0 m)、出口处宽2.2 m (z:−1.1~1.1 m)、高1.1 m (y:0~1.1 m)的箱体。为方便后期统计,在计算域底面以原点(0,0,0)为圆心建立一个狭长椭圆面Aface,用于后期统计雾滴准确沉积,沉积面在距喷雾口高度为l的平行面上,Aface是以喷嘴轴心为圆心、a为半长轴、b为半短轴的椭圆。计算公式如下:
|
图 1 模拟流体域线框图 Fig. 1 Wireframe of simulated fluid domain |
| $ a=l \times {\rm{tan}}\left( {{\theta _1} + {\theta _2}} \right){\rm{,}} $ | (1) |
| $ b=l \times {\rm{tan}}\left( {{\rm{arctan}}\frac{{{l_{\rm{a}}}}}{{{l_{\rm{b}}}}} + {\theta _2}} \right){\rm{,}} $ | (2) |
| $ {A_{{\rm{face}}}={\text{π}} ab}{\rm{,}} $ | (3) |
式中,a为准确沉积区域的半长轴、b为准确沉积区域的半短轴,m;Aface为雾滴准确沉积区域,m2;θ1为喷射半角,(°);θ2为喷雾扩散角,(°);l为沉积面高度,此处为0.6 m;la为喷口半短轴,此处为0.095 mm;lb为虚拟原点到喷口距离,此处为1.200 mm。同时,在计算域内x=2~15 m处以1 m等间距建立多个面,用以切割上述雾滴沉积面,用Meshing进行四面体网格划分,为保证后期结果准确性,划分过程优先考虑网格质量,网络划分单元总数为300 163个。
1.2 数值计算模型 1.2.1 连续相模型选择本文采用基于压力的瞬态模拟求解,考虑重力作用。为精确模拟和捕捉空气流场细节,根据喷雾气流特征,连续相湍流模型采用Launder和Spalding提出的标准k-ε模型[24],该模型在保证雷诺应力求解计算精度的条件下具有较好的稳定性和经济性,近壁面处理方法为标准壁面功能。
1.2.2 离散相模型选择雾滴输送方程采用欧拉−拉格朗日方法[25]求解,其离散相颗粒运动方程如下:
| $ \frac{{{\rm{d}}{{\vec u}_p}}}{{{\rm{d}}t}}=\frac{{18\mu }}{{{\rho _{\rm{p}}}d}}\frac{{{{{C}}_{{D}}}{{Re}}}}{{24}}\left( {\vec u - {{\vec u}_{\rm{p}}}} \right) + \frac{{{{g}}\left( {{\rho _{\rm{p}}} - \rho } \right)}}{{{\rho _{\rm{p}}}}} + \frac{{\rho d}}{{2{\rho _{\rm{p}}}{\rm{d}}t}}\left( {\vec u - {{\vec u}_{\rm{p}}}} \right), $ | (4) |
式中,
喷嘴模型采用平面扇形喷嘴模型(Flat-fan atomizer model),雾化破碎模型采用线性化不稳定液膜雾化模型。喷雾模拟考虑离散相雾滴碰撞和聚合,判断雾滴合并和反弹主要根据Rourke等[26]得到的临界值,临界值是碰撞韦伯数和集合雾滴管与小液滴半径的函数,计算公式如下:
| $ {b_{{\rm{crit}}}}=\left( {{r_1} + {r_2}} \right)\sqrt {{\rm{min}}\left( {1.0,\frac{{2.4f}}{W}} \right)}, $ | (5) |
式中,bcrit为判断雾滴碰撞合并或反弹的临界值,m;r1、r2为小液滴半径,m;f为r1/r2的函数;W为碰撞韦伯数,雾滴碰撞二次破碎模型选用Taylor破碎模型(TAB)。
1.2.3 模拟试验参数设置1) 离散相喷射源参数:离散相材料为水,离散相释放位置坐标为(x,y,z)=(0,0.6,0);喷嘴轴向矢量分量为(x,y,z)=(0,−1,0);雾滴质量流率为0.02 kg/s;喷射半角为60°;喷雾扩散角为6°。启用非稳态粒子追踪,采用离散随机游走模型,粒子释放时间尺度常数为0.01 s。
2) 边界条件参数:对于流体边界条件(Boundary condition):箱体域x=−2.5 m平面为速度入口边界(Velocity-inlet),速度分别设置为0、1、2、3、4、5和6 m/s;x=17.5 m平面为自由出流边界(Outflow);其他面均为壁面边界(Wall)。对于离散相的边界条件类型(DPM boundary condition type),入口处和出口处为逃逸(Escape),地面为形成液膜(Wall-film),其余均为反弹(Reflect),计算区域内部材料为空气。
3) 求解方法及模拟参数:压力−速度耦合方式为SIMPLE,瞬态公式为二阶隐式,亚松弛因子保持默认设置。求解开始前对全局进行标准初始化,求解时迭代时间步长为0.010 s。当研究风速对雾滴粒径影响时,模拟喷施时长0.005 s,喷施开始前开启风场,待模拟区域内流场稳定后开始喷雾,喷雾结束后延迟0.010 s统计流场域中的全部粒子粒径分布,目的是让喷施的离散相粒子可以在空中充分碰撞或聚合,此时离散相粒子距离喷头平均长度为0.35 m,达到常规的雾滴统计位置;当研究雾滴沉积飘移特性时,模拟喷雾时长5 s,同样,喷雾开始前开启风场,待模拟区域内流场稳定后开始喷雾,喷雾结束后风场保持开启一段时间,直到空间内雾滴被地面捕捉或离开计算域。
2 风洞试验 2.1 试验设备和材料本试验所用风洞位于华南农业大学国家精准农业航空中心风洞实验室,为符合ISO国际标准(ISO 22856)的高低速复合风洞。试验过程中为消除因壁面湍流和雾滴反弹造成的试验误差,风洞底面铺设防飞溅人工草皮。风速测量设备为加野麦克斯公司生产的Kanomax 6036-BG Anemomaster带压力传感器式数字风速计。喷雾系统是由农业农村部南京农业机械化研究所设计的喷雾控制系统,该系统由延时继电器、储水箱、增压泵、卸压阀、压力表、喷施管道以及喷头(德国Lechler系列LU 120-015和LU 120-03标准扇形压力喷头)组成,通过调节减压阀出口压力,能够精确控制喷施压力,通过调节继电器模式,可以定时喷施。荧光度检测设备为天津港东科技发展有限股份公司生产的F-380荧光分光光度计及配套软件。
2.2 风洞试验设计将喷头安装在风洞内距离风洞底面0.6 m的中心支架上,调整喷嘴方向,使喷嘴竖直朝下,喷施扇面椭圆长轴方向和来风方向垂直。试验介质选用可溶性荧光示踪剂(质量分数为0.5%的罗丹明−B)水溶液,采用直径为1 mm的聚乙烯线进行雾滴收集。在下风向距离喷头平面2 m的位置,由风洞地面向上0.1~0.8 m放置8根间距为0.1 m的收集线,用以检测穿过垂直平面空气的雾滴通量,分别命名为V1~V8;其中,设置距离地面为0.1 m收集线的目的是消除由于风的湍流和雾滴在地面的飞溅导致对收集线的污染。此外,沿水平方向在距离地面0.1 m高的位置以1.0 m的间隔距离放置13根收集线,以检测喷雾从2~15 m范围内的水平飘失,分别命名为H3~H15。根据植保无人机的航空植保喷施作业规范,环境侧风大于3级风时不能进行喷施作业,选择1、3、6 m/s的风速进行风洞试验,每次喷施时间为5 s,喷施结束后待附着在线上的雾滴充分晾干,戴上一次性橡胶手套收集聚乙烯线并单独放置在编好号的自封袋中,避光低温保存,及时处理,每组试验重复3次。风洞试验布置如图2所示。
|
图 2 风洞试验布置图 Fig. 2 The layout of wind tunnel test |
通过Fluent自带离散相粒子统计功能对沉积高度为0.6 m的地面进行统计,计算获得雾滴飘移特性。通过对沉积在底面上不同单位距离长方形块内的离散相质量统计,可以获得不同侧风条件下离散相飘移情况。将收集的聚乙烯线用40 mL去离子水充分振荡洗涤,取样通过荧光分光光度计测量得到示踪剂的质量浓度(μg/L),质量浓度乘以洗脱液体积(L),得到采集线上沉积的示踪剂质量(μg),通过竖直排列布置的8根水平收集线上获得的数据,可以拟合得到测试垂直面内雾滴飘移体积通量随高度分布的n次多项式曲线
| $ h = \frac{{\displaystyle\int _0^{{{{h}}_{\rm{N}}}}{\dot{{v}}}\left( {{y}} \right){{y{\rm{d}}y}}}}{{\displaystyle\int _0^{{{{h}}_{\rm{N}}}}{\dot{{v}}}\left( {{y}} \right){{{\rm{d}}y}}}}{\rm{,}} $ | (6) |
式中,
雾滴水平飘移率(Rh)以距离地面0.1 m布置的13根聚乙烯线收集的雾滴沉积量占喷头喷施雾滴的百分比来表示,计算公式如下:
| $ {R_{\rm{h}}} = \frac{{{A_{\rm{d}}}}}{{{T_{\rm{a}}}}} \times 100{\text{%}} {\rm{,}} $ | (7) |
| $ {A_{\rm{d}}} = \sum\limits_{{{i}} = 1}^{{n}} {{{{d}}_{{i}}}} \left( {\frac{{{s}}}{{{w}}}} \right){\rm{,}} $ | (8) |
| $ {T_{\rm{a}}} = vc{\rm{,}} $ | (9) |
式中,Ad为喷雾过程中,雾滴在收集线上的沉积总量,μg;n为收集线的数量;di为第i根收集线上示踪剂的沉积,μg;s为收集线间的距离,m;w为收集线的直径,本试验中的w为0.001 m;Ta为喷施示踪剂的质量,μg;v为喷雾体积,L;c为示踪剂质量浓度,μg/L。
3 结果与分析 3.1 数值模拟结果无侧向风条件下,喷头的雾滴在风洞内部的沉积分布模拟情况如图3所示。由图3可以看出,无侧向风时,喷嘴离散相雾滴以喷射半角为60°的扇形面分布,并以6°的扩散角向外扩散,除空间中的极少数无序离散相粒子外,绝大部分离散相粒子均在式(1)~(3)所求得的椭圆范围内。
|
图 3 无侧风影响下离散相在空间中的分布情况 Fig. 3 Distribution of discrete phases in space without crosswind |
图4为无侧风条件下雾滴在椭圆面内准确沉积比例(Ra)和水平飘移率(Rh)的沉积分布,不同颜色代表不同的离散相沉积质量浓度,蓝色向红色渐变代表浓度逐渐加大。由图4可知,在无侧向风时,计算机模拟所得离散相雾滴在底面上的沉积质量浓度云图与通过式(1)~(3)计算所得区域基本一致,均沉积在以喷嘴为中心的椭圆区域。由于喷嘴正下方中间区域直接喷射且喷口中间较宽,所以离散相粒子能大量沉积;底面中心向两侧的沉积量逐渐下降,主要是由于喷嘴喷口两侧较窄,且喷施雾滴在z轴方向的运动势能随喷施时间的增加而减小,因此,雾滴粒子在喷施范围内雾量沿z方向总体上呈先增大后减小的正态分布。另外,由沉积比例图可以看出,风洞壁两侧处也出现较大浓度的雾滴沉积,这主要是由于单喷头喷幅两侧的部分雾滴在运动势能减小的情况下向两侧发生了扩散,并与风洞侧壁碰撞反弹至底部从而产生一定的雾滴沉积。
|
图 4 模拟离散相在底面上的沉积浓度云图 Fig. 4 The cloud map of discrete phase deposite concentration on the bottom surface |
为更好地反映出不同侧风风速参数下的离散相雾滴分布特性,选择适当的视角以反映离散相雾滴沉积质量浓度区间。图5为侧风风速为0~6 m/s时雾滴在计算区域内Ra和Rh的沉积分布图。由图5可以看出,随着侧风风速的增加,雾滴水平飘移越来越明显,高浓度沉积区域逐渐偏离喷雾中心轴线(x=0 m)朝下风向偏移,沉积质量浓度大于0.008 kg/m3的x轴区域边界由5 m逐渐推移至13 m。对于沉积在底面上的雾滴,x轴向沉积质量浓度分布变化明显,z轴向雾滴沉积质量浓度分布接近对称,从z轴中心轴线向两侧呈现出由低到高再到低的“M”型分布。对于下风向的离散相沉积质量浓度,底面与两壁交接处有2段沉积质量浓度很高的窄条,在距两侧壁面0.1 m处存在一块沉积质量浓度较低的区域,且随着风速增大,区域沿x轴方向逐渐拉长。
|
图 5 不同风速下的雾滴分布图 Fig. 5 Distribution of droplets at different wind speeds |
图6为在x=1 m平面内气流的z方向分速度云图和风洞内x轴方向的流线图。由图6的云图可见,雾滴粒子由蓝向红运动的方向表示z方向分速度由负变为正;雾滴粒子在x=1 m处的分速度近似对称分布,表明离散相粒子在x=1平面及其附近空间内存在着涡旋运动。图6的流线图可以看出,从入口处进入的平行气流通过扇形喷雾面后形成2个关于xy平面对称的涡旋,涡旋的影响范围超出喷雾的初始位置,导致雾滴在一定空间范围内出现上扬;在此处两侧下风向的小雾滴很容易被卷到喷施扇面后方,导致小雾滴均沉积在靠近风洞中心平面处,此时离散相呈现出非流体特性,说明离散相雾滴和连续相空气相互耦合且彼此影响。
|
图 6 在x=1 m平面内离散相粒子z方向分速度矢量图 Fig. 6 z-direction velocity of discrete phase particles in the plane with x=1 m |
为进一步表明侧向风速对雾滴飘移的影响,用狭长椭圆内雾滴沉积质量占总的离散相沉积质量的比例来表示某一风速下的Ra,用下风向2 m后地面和出风口捕获雾滴沉积量占总的沉积质量的比例来表示某一风速下的Rh,根据计算机模拟针对风洞内底面上不同区域的雾滴沉积质量的统计结果,计算雾滴在不同风速下的Ra和Rh,结果如图7所示。
|
图 7 侧风影响下模拟离散相准确沉积率和水平飘移率 Fig. 7 Accurate deposition rate and horizontal drift rate of simulated discrete phases under crosswind |
由图7可以看出,随着侧向风速的增加,模拟离散相的Ra呈指数下降,由14.11%降到0.66%;Rh呈线性增加,由14.25%增加到60.58%。可见,随着侧向风速的增大,离散相雾滴飘移程度越来越严重。为进一步分析沉积结果和侧向风速的相关性,对Ra、Rh与风速(v)分别进行回归分析,回归方程分别为:Ra=0.1476e−0.529v (R2=0.995)和Rh=0.0796v+0.1456(R2=0.995),对应的显著性水平P值分别为0.0063和0.0036,均达极显著相关(P<0.01),表明随着侧向风速的增加,离散相Ra呈指数式降低、Rh呈线性增加;侧向风速的增加不利于喷施雾滴在目标区域内的准确沉积,容易造成飘移。
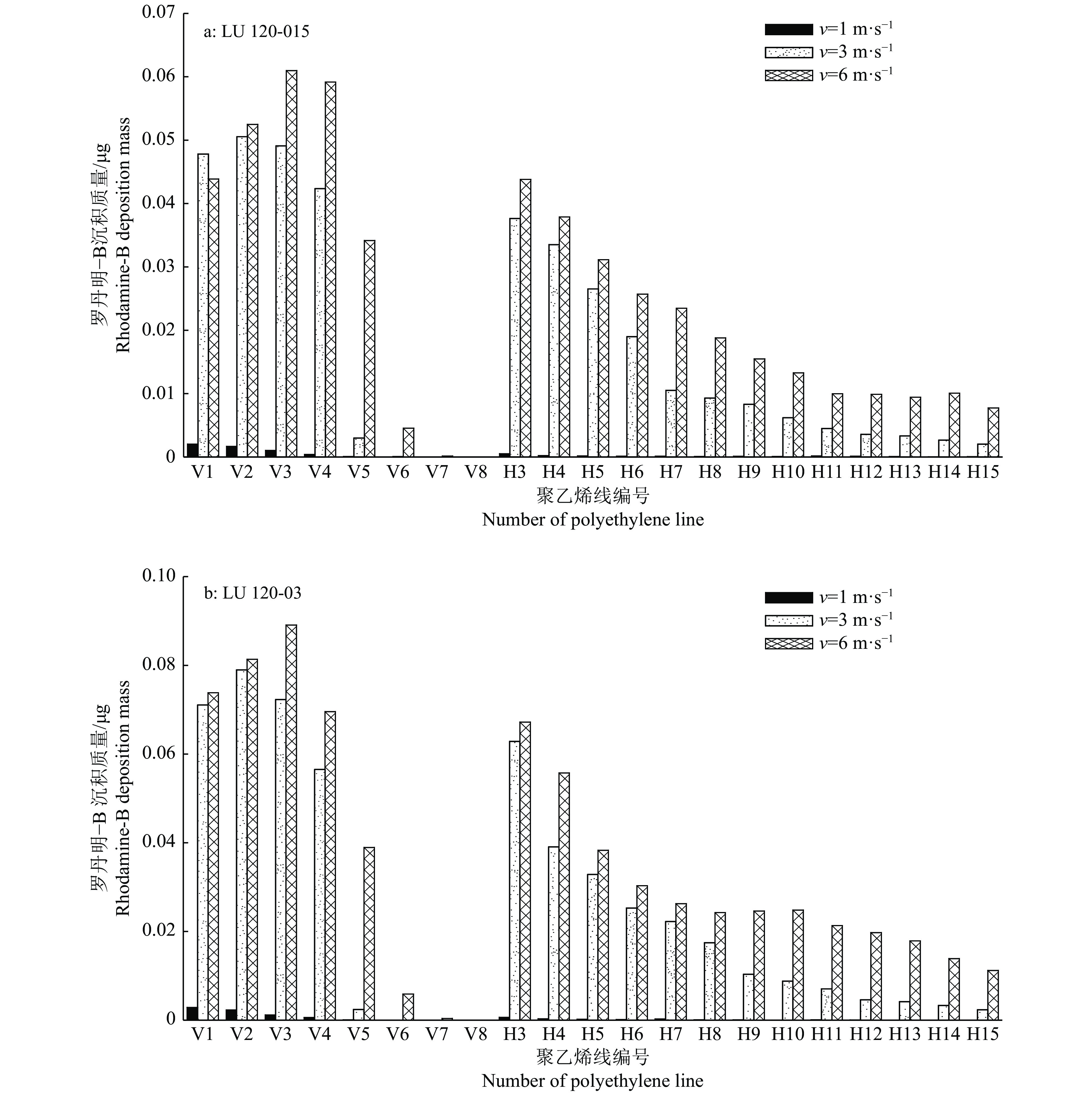
3.2 风洞试验结果及数据对比分析对LU 120-015和LU 120-03喷头在不同风速下的雾滴飘移进行风洞试验,喷施压力为0.3 MPa,侧向风速分别为1、3和6 m/s,结果如图8所示。由图8可知,在侧风风速为1 m/s时,喷头在下风向2 m处的竖直平面内雾滴通量由下至上逐渐减小;在侧风风速为3和6 m/s时,雾滴通量先增大后减小。可见,当侧向风速较小时,在喷头压力作用下,雾滴上扬程度低,主要向底部运动;当侧向风速增加时,较大的侧向风速会导致喷出的雾滴上扬,此时雾滴在竖直平面内的分布呈先增加后减少的趋势。
|
图 8 不同侧风风速下LU 120-015和LU 120-03喷头雾滴在采集线上的沉积分布 Fig. 8 The deposition and distribution of droplets of LU 120-015 and LU 120-03 nozzles on the sample line at different crosswind speeds |
对于下风向2 m及大于2 m的雾滴沉积飘移量,在不同侧风风速条件下,随着收集线离喷头水平距离的增加,雾滴沉积量均呈现逐渐下降的趋势,但下降速率有一定的差异。当侧向风速为3 m/s时,随采样距离的增加,雾滴沉积量下降速率大于侧向风速为6 m/s时。相对于大雾滴,小雾滴沉降速度慢,随着风速逐渐增加,侧向风对雾滴水平飘移距离的影响也逐渐增大,小雾滴更容易受到侧向风的影响,且风速越大,雾滴的飘移距离越远。当侧向风速为3 m/s时,飘移的雾滴及数量非常小,沉积量下降速率较快;侧向风速为6 m/s时的沉积情况相反,且同一位置采集到的雾滴沉积量大于3 m/s时的雾滴沉积量。可见,侧向风速较大时雾滴飘移的数量及粒径增加,从而导致在同一位置处采集到的雾滴沉积量较大。通过计算得到3种侧风风速下雾滴飘移量分布的特征高度(h)分别为0.175、0.200和0.245 m,对应的水平飘移率分别为0.4%、48.1%和75.1%,这与雾滴飘移量随着风速的增大而逐渐增加的规律相吻合。
通过统计模拟结果中竖直单位距离内的离散相粒子沉积质量,获得模拟结果的飘移量数据。将风洞内水平布置的V1(H2)、H3~H15聚乙烯线上的罗丹明−B沉积质量与收集距离进行线性拟合,反推得出在一定距离下的雾滴飘移量数据。通过SPSS软件进行相关性分析可知,在1、3和6 m/s侧风风速下,风洞实测与数值模拟的雾滴飘移量的相关系数分别为0.905、0.995和0.978。对计算机模拟的雾滴水平飘移率(Rht)和风洞试验中雾滴水平飘移率(Rhs)进行相关分析,其表达式为Rht=1.888Rhs−0.3533 (R2=0.963),对应的显著性水平P值为0.038 (P<0.05),表明两者具有较强的相关性,从而验证了模拟结果的准确性。
4 结论本文以航空植保无人机平面扇形喷头为研究对象,采用CFD离散相模型的粒子跟踪技术方法模拟雾滴在低风速条件下的沉积飘移特性,并结合相近情况下的风洞试验对扇形喷头的雾滴沉积飘移特性进行了测试和验证。研究结果表明:
1)通过对模型结果的统计和分析,随着侧向风速的增加,模拟离散相粒子的准确沉积率(Ra)由14.11%呈指数下降到0.66%,水平飘移率(Rh)由14.25%呈线性增加到60.58%,可见,随着侧向风速的增大,离散相雾滴飘移程度越严重,雾滴水平飘移越明显。
2)在不同的侧向风速下,雾滴在竖直平面内的分布有差异。计算得出1、3和6 m/s风速下雾滴的飘移量分布的特征高度(h)分别为0.175、0.200和0.245 m,水平飘移率分别为0.4%、48.1%和75.1%,可见,随侧向风速的增加,雾滴飘移程度急剧增加。
3)通过对比计算机模拟与风洞测试结果可知,设置合适的喷施参数,计算机模拟可以获得与风洞测试试验有一定相关性的雾滴飘移结果;对比计算机模拟及风洞测试试验的水平飘移率发现,两者具有显著的相关性(R2=0.963,P<0.05),说明数值模拟和风洞测试试验结合对于雾滴飘移具有较好的预测效果。
| [1] |
张东彦, 兰玉彬, 陈立平, 等. 中国农业航空施药技术研究进展与展望[J]. 农业机械学报, 2014, 45(10): 53-59. DOI:10.6041/j.issn.1000-1298.2014.10.009 ( 0) |
| [2] |
DEKEYSER D, DUGA A T, VERBOVEN P, et al. Assessment of orchard sprayers using laboratory experiments and computational fluid dynamics modelling[J]. Biosystems Engineering, 2013, 114(2): 157-169. DOI:10.1016/j.biosystemseng.2012.11.013 ( 0) |
| [3] |
CROSS J V, WALKLATE P J, MURRAY R A, et al. Spray deposits and losses in different sized apple trees from an axial fan orchard sprayer: 3: Effects of air volumetric flow rate[J]. Crop Protection, 2003(22): 381-394. ( 0) |
| [4] |
周志艳, 明锐, 臧禹, 等. 中国农业航空发展现状及对策建议[J]. 农业工程学报, 2017, 33(20): 1-13. DOI:10.11975/j.issn.1002-6819.2017.20.001 ( 0) |
| [5] |
张京, 何雄奎, 宋坚利, 等. 无人驾驶直升机航空喷雾参数对雾滴沉积的影响[J]. 农业机械学报, 2012, 43(12): 94-96. DOI:10.6041/j.issn.1000-1298.2012.12.017 ( 0) |
| [6] |
陈盛德, 兰玉彬, 李继宇, 等. 航空喷施与人工喷施方式对水稻施药效果比较[J]. 华南农业大学学报, 2017, 38(4): 103-109. DOI:10.7671/j.issn.1001-411X.2017.04.017 ( 0) |
| [7] |
王昌陵, 宋坚利, 何雄奎, 等. 植保无人机飞行参数对施药雾滴沉积分布特性的影响[J]. 农业工程学报, 2017, 33(23): 109-116. DOI:10.11975/j.issn.1002-6819.2017.23.014 ( 0) |
| [8] |
张京, 宋坚利, 何雄奎, 等. 扇形雾喷头雾化过程中雾滴运动特性[J]. 农业机械学报, 2011, 42(4): 66-69. ( 0) |
| [9] |
张宋超, 薛新宇, 秦维彩, 等. N-3型农用无人直升机航空施药飘移模拟与试验[J]. 农业工程学报, 2015, 31(3): 87-93. DOI:10.3969/j.issn.1002-6819.2015.03.012 ( 0) |
| [10] |
TESKE M E, THISTLE H W, HEWITT A J, et al. Rotary atomizer drop size distribution database[J]. Transactions of the ASABE, 2005, 48(3): 917-921. DOI:10.13031/2013.18496 ( 0) |
| [11] |
张慧春, 周宏平, 郑加强, 等. 农药助剂对空中和地面防控林业有害生物的雾滴粒径影响[J]. 林业科学, 2020, 56(5): 121-132. ( 0) |
| [12] |
丁素明, 薛新宇, 董祥, 等. 喷雾参数对雾滴沉积性能影响研究[J]. 农业机械学报, 2020, 51(S2): 315-322. ( 0) |
| [13] |
KIRK I W. Measurement and prediction of atomization parameters from fixed-wing aircraft spray nozzles[J]. Transactions of the ASABE, 2007, 50(3): 693-703. DOI:10.13031/2013.23123 ( 0) |
| [14] |
FRITZ B K, HOFFMANN W C, LAN Y. Evaluation of the EPA drift reduction technology (DRT) low-speed wind tunnel protocol[J]. Journal of ASTM International, 2009, 6(4): 183-191. ( 0) |
| [15] |
HOFFMANN W C, FRITZ B K, LAN Y. Evaluation of a proposed drift reduction technology high-speed wind tunnel testing protocol[J]. Journal of ASTM International, 2009, 6(4): 212-223. ( 0) |
| [16] |
MARTIN D E, CARLTON J B. Airspeed and orifice size affect spray droplet spectrum from an aerial electrostatic nozzle for fixed-wing applications[J]. Applied Engineering in Agriculture, 2013, 29(1): 5-10. DOI:10.13031/2013.42528 ( 0) |
| [17] |
曾爱军, 何雄奎, 陈青云, 等. 典型液力喷头在风洞环境中的飘移特性试验与评价[J]. 农业工程学报, 2005, 21(10): 78-81. DOI:10.3321/j.issn:1002-6819.2005.10.018 ( 0) |
| [18] |
张慧春, DORR G, 郑加强, 等. 扇形喷头雾滴粒径分布风洞试验[J]. 农业机械学报, 2012, 43(6): 53-57. DOI:10.6041/j.issn.1000-1298.2012.06.010 ( 0) |
| [19] |
唐青, 陈立平, 张瑞瑞, 等. 高速气流条件下标准扇形喷头和空气诱导喷头雾化特性[J]. 农业工程学报, 2016, 32(22): 121-128. DOI:10.11975/j.issn.1002-6819.2016.22.017 ( 0) |
| [20] |
DUGA A T, DELELE M A, RUYSEN K, et al. Development and validation of a 3D CFD model of drift and its application to air-assisted orchard sprayers[J]. Biosystems Engineering, 2016, 154: 62-75. ( 0) |
| [21] |
HONG S W, ZHAO L, ZHU H. CFD simulation of airflow inside tree canopies discharged from air-assisted sprayers[J]. Computers and Electronics in Agriculture, 2018, 149: 121-132. DOI:10.1016/j.compag.2017.07.011 ( 0) |
| [22] |
孙国祥, 汪小旵, 丁为民, 等. 基于CFD离散相模型雾滴沉积特性的模拟分析[J]. 农业工程学报, 2012, 28(6): 13-19. DOI:10.3969/j.issn.1002-6819.2012.06.003 ( 0) |
| [23] |
刘雪美, 苑进, 张晓辉, 等. 气流辅助式喷雾工况参数对雾滴飘移特性的影响[J]. 农业机械学报, 2012, 43(S1): 67-72. ( 0) |
| [24] |
郑力铭. ANSYS FLUENT15.0流体计算从入门到精通[M]. 北京. 电子工业出版社, 2015: 156-181.
( 0) |
| [25] |
CROWE C T, SMOOT L D. Multicomponent conservation equations[C]//SMOOT L D, PRATT D T. Pulverized-coal combustion and gasification. Boston: Springer, 1979: 15-54.
( 0) |
| [26] |
ROURKE T D, HALL W J. Seismic behavior and vulnerability of pipelines[J]. ASCE, 1991, 11: 73-79. ( 0) |
| [27] |
张慧春, DORR G, 郑加强, 等. 喷雾飘移的风洞试验和回归模型[J]. 农业工程学报, 2015, 31(3): 94-100. DOI:10.3969/j.issn.1002-6819.2015.03.013 ( 0) |
2021, Vol. 42



0)